1.关于质点的加速度,下列说法中正确的是( )
(A)加速度越大,质点运动越快
(B)加速度越大,质点的速度变化越快
(C)加速度不变,质点的运动快慢保持不变
(D)加速度为零,质点的速度也为零
【答案】
B
【解析】
加速度是描述速度变化快慢的物理量,加速度越大表明物体的速度变化越快;加速度不变表明物体的速度随时间均匀变化;加速度为零表明物体的速度保持不变。
2.做初速为零的匀加速直线运动的物体,第1 s内位移是2 m。求 :
(1)10 s内位移的大小;
(2)第10 s内位移的大小;
(3)10 s末速度的大小。
【答案】
(1)s10=200 m
(2)Δs10=38 m
(3)v10=40 m/s
【解析】
(1)s1=\(\frac{1}{2}\)at12,将s1=2 m、t1=1 s代入,即可求得a=4 m/s2。
10 s内位移:s10=\(\frac{1}{2}\)at102=×4×102 m=200 m
(2)9 s内位移:s9=\(\frac{1}{2}\)at92=×4×92 m=162 m
第10 s内的位移:Δs10=s10-s9=(200-162)m=38 m
(3)10 s末的速度:v10=at10=4×10 m/s=40 m/s
3.有甲、乙两个物体,从同一地点,同方向、同时由静止开始做匀加速直线运动,经相同时间它们的位移之比为9∶4,则它们经相同位移的时间之比为______,速度之比为_____。
【答案】
2∶3,3∶2
【解析】
根据初速度为零的匀加速直线运动的位移公式s=\(\frac{1}{2}\)at2,对甲、乙两个物体,在相同时间内位移的大小之比\(\frac{{{s_甲}}}{{{s_乙}}}\)=\(\frac{{{a_甲}}}{{{a_乙}}}\)=\(\frac{9}{4}\),经过相同的位移所用时间之比\(\frac{{{t_甲}}}{{{t_乙}}}\)=\(\frac{{\sqrt {{a_乙}} }}{{\sqrt {{a_甲}} }}\)=\(\frac{2}{3}\);根据速度和位移的关系式v2=2as,经过相同的位移时,速度的大小之比\(\frac{{{v_甲}}}{{{v_乙}}}\)=\(\frac{{\sqrt {{a_甲}} }}{{\sqrt {{a_乙}} }}\)=\(\frac{3}{2}\)。
4.某汽车从静止出发做匀加速直线运动,经过12 s后改做匀速直线运动,又经过8 s,汽车已前进的总位移为336 m。求:
(1)该汽车加速阶段的加速度。
(2)画出该汽车运动的速度-时间图像。
【答案】
(1)a=2m/s2
方向与汽车运动方向一致。
(2)如图所示。

【解析】
(1)s1=\(\frac{1}{2}\)at12,代入数据后可得
s1=72a……①
s2=vt2=at1t2,代入数据后可得
s2=96a……②
将①、②两式相加可得s1+s2=168a,即336=168a,所以解得加速度的大小
a=2m/s2
方向与汽车运动方向一致。
(2)汽车匀加速运动的末速度大小,即匀速运动的速度大小
v=vt= at1=2×12m/s=24m/s
得到的v-t图像如图所示。

5.质点从A出发向正东方向移动了4 m到达B,再从B出发向正北方向移动了3 m到达C,则质点从A到C的路程为_____m;位移的大小为____m,方向为______。
【答案】
7,5,东偏北37°
6.物体从静止出发做匀加速直线运动,测得它经过8 m位移用了4 s时间,则该物体运动的加速度大小为___m/s2;4 s末的瞬时速度的大小为_____m/s。
【答案】
1,4
7.在地球上做自由落体运动的物体,着地速度是20 m/s,则该物体是从_____m高处下落的。如果是在月球上则是从______m高处落下的(月球上落体加速度是地球上的\(\frac{1}{6}\))。
【答案】
20,120
8.
某同学在正在加速起步的汽车中观察速度计时,发现它的指针随时间均匀增加到如图所示的位置,所用的时间是6 s。则此时汽车行驶的路程为_______m。此后汽车改做匀速直线运动,又运动了20 s,在这26 s时间内汽车的平均速度为_______m/s。
【答案】
50,14.74
9.关于质点的描述,下列说法中正确的是( )
(A)质量很小的物体必定可以看作质点 (B)体积很小的物体必定可以看作质点
(C)某些情况下,地球也可以看作质点 (D)研究乒乓球旋转快慢时,可以把它看作质点
【答案】
C
10.关于速度和加速度的关系,下列说法中正确的是( )
(A)加速度可以用速度与时间的比值来表示 (B)速度改变量越大,加速度越大
(C)加速度越大,速度变化越快 (D)速度为零时,加速度一定也为零
【答案】
C
11.一辆汽车由静止开始做匀加速直线运动,从开始运动到驶过第一个100 m距离时,速度增加了10 m/s,汽车驶过第二个100 m时,速度的增加量( )
(A)小于10 m/s (B)等于10 m/s (C)大于10 m/s (D)无法确定
【答案】
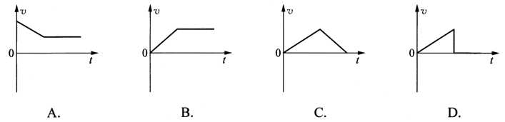
A
12.滑雪运动员从雪坡上静止起下滑至水平面(阻力不计),下列能较正确反映这一运动的v-t图象。是图中的( )

【答案】
B
13.
现代实验技术——数字化信息系统(DIS)通常由______、_______和________三部分组成。在测定小车运动的平均速度时选用的是_______传感器。在测定小车瞬时速度时常用______传感器。如图所示是实验时记录的小车运动的位移随时间变化的图象,选择区域AB范围内平均速度为________m/s;选择区域AC范围内平均速度为_______m/s。其中较接近A点瞬时速度为______(选填“前者”或“后者”)。
【答案】
传感器,数据采集器,计算机,位移,光电门,1.17,1.0,后者
14.如图所示是用光电门传感器测定小车瞬时速度的情景,某同学采用不同的挡光片做了三次实验,研究小车经过光电门的瞬时速度,并对测量精确度加以比较。
|
次数 |
挡光片宽(m) |
挡光时间(s) |
速度(m/s) |
|
1 |
0.080 |
0.036 |
|
|
2 |
0.040 |
|
2.00 |
|
3 |
0.020 |
0.0105 |
|
(1)每次释放小车的位置应当_______;
(2)测量的是小车前端P抵达_______点(选填a、b或c)(ac间距离恰等于小车长度)的瞬时速度;
(3)由上述表格可知测得瞬时速度较精确的值为_____m/s。
【答案】
(1)相同
(2)b
(3)1.90(表格中:2.22,0.020,1.90)
15.从静止开始做匀加速直线运动的物体,求:
(1)它在第n s内的位移与前n s内位移之比是多少?
(2)它在第n s末的速度与前n s内平均速度之比是多少?
【答案】
(1)(2n-1)∶n2
(2)2∶1
16.一把长1 m的直尺靠近墙壁自某高处自由下落,经过墙上一个钉子的时间为0.1 s,求释放前直尺上端到钉子的距离。
【答案】
5.51 m
17.质点做匀加速直线运动,初速度是5 m/s,加速度是1 m/s2,那么在第4 s末瞬时速度的大小是________m/s,第4 s内位移的大小是_______m。
【答案】
9,8.5
【解析】
根据匀变速直线运动的速度公式vt=v0+at可直接求解第4 s末的瞬时速度。第4 s内的位移可用位移公式s=v0t+\(\frac{1}{2}\)at2先分别求出前4 s和前3 s内的位移,两者相减即为第4 s内的位移。
18.一个物体作竖直上抛运动回到原处,下列说法中正确的是( )
(A)上升过程和下降过程的位移相同
(B)上升到最高点时,瞬时速度和加速度都为零
(C)运动过程中,任何相等时间内的速度变化量都相等
(D)运动过程中,相等时间内的位移可能相等
【答案】
C
【解析】
在物体上升和下降过程中的路程相等,但位移方向不同,故A不对;在最高点时,瞬时速度为零,加速度为重力加速度g,故B不对;竖直上抛运动是加速度为重力加速度g的匀变速运动,所以任何相等时间内的速度变化量都相等,故C正确;上升过程中物体作匀减速直线运动,相等时间内的位移不可能相等,下降过程物体作匀加速度直线运动,相等时间内的位移也不可能相等,上升与下降过程相比,因为位移方向不同,可能会有相等的时间内路程相等,但位移不可能相等,所以D不对。
19.一列火车的初速度为12 m/s。制动后作匀减速运动,测得3 s内位移是30 m,这时火车仍在运动。求火车从开始制动起经过10 s后位移是多少?
【答案】
54 m
【解析】
设火车作匀减速运动的加速度大小为a,
s1=v0t1-\(\frac{1}{2}\)at12,
将s1=30 m、v0=12 m/s、t1=3 s代入,可求出
a=\(\frac{4}{3}\) m/s2
设火车开始制动后经过t2时间会停止,则
t2=\(\frac{{{v_t} - {v_0}}}{a}\)=\(\frac{{0 - 12}}{{ - 4/3}}\)s=9 s
所以火车开始制动后经过10 s的位移就是减速到停止的位移,所以
s2=\(\frac{{v_t^2 - v_0^2}}{{2a}}\)=\(\frac{{0 - 144}}{{ - 8/3}}\)=54 m
火车从开始制动起经过10 s后位移的大小为54 m,方向与火车运动方向一致。
20.一辆汽车从静止起以加速度a1做匀加速运动,经一定时间后关闭发动机以加速度a2做匀减速运动,直到停止。该车的总位移为s。该车全程所花时间是多少?
【答案】
\(\sqrt {2s(\frac{{{a_1} + {a_2}}}{{{a_1}{a_2}}})} \)
【解析】
设汽车作匀加速运动的位移为s1、时间为t1、加速度大小为a1,作匀减速运动的位移为s2、时间为t2、加速度大小为a2,车全程所花的时间为t。汽车全过程的v-t图象如图所示。
在v-t图象中面积的物理意义是位移,所以s=\[\frac{1}{2}\]vt,可得
v=\(\frac{{2s}}{t}\)
根据加速度的表达式有:t1=\(\frac{v}{{{a_1}}}\),t2=\(\frac{v}{{{a_2}}}\)
t=t1+t2=\(\frac{v}{{{a_1}}}\)+\(\frac{v}{{{a_2}}}\)=v\(\frac{{{a_1} + {a_2}}}{{{a_1}{a_2}}}\)
将v=\(\frac{{2s}}{t}\)代入上式,可得车全程所花时间t=\(\sqrt {2s(\frac{{{a_1} + {a_2}}}{{{a_1}{a_2}}})} \)
启示:对末速度为零的匀减速运动,可以根据对称的思想,将其视为反向的匀加速直线运动;对这类由静止开始,先做匀加速运动再做匀加速运动的问题,可以画出v-t图像,利用图形的面积(其物理意义为位移)、和图线的斜率(其物理意义为加速度),是一种常用的方法。
21.已知某质点做匀减速直线运动,其初速度为10 m/s,加速度的大小为2 m/s2,则它在第3 s初的速度大小为_____________m/s,在第3 s内的位移大小为______________m。
【答案】
6,5
22.以初速度v0竖直上抛一小物体,物体上升一半时间时的瞬时速度大小为_______,物体上升的最大高度为___________。
【答案】
\(\frac{{{v_0}}}{2}\),\(\frac{{v_0^2}}{{2g}}\)
23.
一个物体从静止开始沿一直线运动,先做匀加速运动,接着做匀减速运动,最后静止,其速度图像如图所示。在0~15s和15s~45s两段时间内位移大小之比为_________;平均速度大小之比为___________。
【答案】
1∶2,1∶1
24.某物体先以恒定加速度a1从静止开始运动,一段时间后又以恒定加速度a2运动,经过和前一段运动相同的时间后物体恰好回到原处,则前后两段运动的加速度之比为__________,前后两段运动结束时的末速度之比为__________。
【答案】
1∶3,1∶2
【解析】
(1)设时间为t,前半段的位移为s,由运动学公式,对前半段(如图中黑色线段)可得:
s=\(\frac{1}{2}\)a1t2 (1)
后半端先做加速度大小为a2匀减速直线运动,速度为零时,反向做加速度大小为a2的匀加速直线运动,整个过程a2的大小方向都不变,可以统一看做一个匀变速直线运动(类似于竖直上抛运动,如图中红色线段),可得:
-s=v1t-\(\frac{1}{2}\)a2t2=(a1t)t-\(\frac{1}{2}\)a2t2 (2)
两式联立可得:
\(\frac{1}{2}\)a1t2=\(\frac{1}{2}\)a2t2-a1t2
a1∶a2=1∶3
(2)前半段有:v1=a1t
后半段有:v2=v1-a2t=a1t-3a1t=-2a1t
可得:v1∶v2=1∶2
25.一辆汽车从静止开始以匀加速度开出,然后保持匀速运动,最后匀减速运动,直到停止,下表给出了不同时刻汽车的速度,那么汽车从开出到开始做匀速运动经历的时间是______s。总共通过的路程是_______m。
|
时刻(s) |
1.0 |
2.0 |
3.0 |
5.0 |
7.0 |
9.5 |
10.5 |
|
速度(m/s) |
3 |
6 |
9 |
12 |
12 |
9 |
3 |
【答案】
4,96
26.甲的加速度为-5 m/s2,乙的加速度为3 m/s2,则以下说法中正确的是( )
(A)甲的加速度比乙大 (B)甲向负方向运动
(C)甲比乙运动得快 (D)甲单位时间内速度的改变量比乙大
【答案】
D
27.将甲、乙两小球以大小相等的初速度抛出,甲球竖直上抛,乙球竖直下抛,则( )
(A)甲球落地时速度大于乙球落地时速度
(B)甲球落地所需时间等于乙球落地所需时间
(C)从抛出到落地的过程中,甲乙两球的平均速度相同
(D)运动过程中,任意时间内甲乙两球的速度变化量相同
【答案】
D
28.在空中某足够高处,以初速度20 m/s竖直上抛一物体,不计空气阻力,第1 s末到第5 s末物体通过的路程为( )
(A)40 m (B)45 m (C)50 m (D)65 m
【答案】
C
29.
如图所示,光滑斜面被等分成四段,AB=BC=CD=DE,若一物体从A点由静止开始沿斜面向下运动,则( )
(A)物体通过AB、AC、AD、AE四段的时间之比为1∶\(\sqrt 2 \)∶\(\sqrt 3 \)∶2
(B)物体通过每一段的时间之比为2∶\(\sqrt 3 \)∶\(\sqrt 2 \)∶1
(C)物体通过每一段的平均速度之比为1∶\(\sqrt 2 \)∶\(\sqrt 3 \)∶2
(D)物体通过B、C、D、E四点的速度之比为1∶(\(\sqrt 2 \)+1)∶(\(\sqrt 3 \)+\(\sqrt 2 \))∶(2+\(\sqrt 3 \))
【答案】
A
30.竖直上抛运动,上升和下落两次经过A点时间差为t1,两次经过较高的B点时间差为t2,求AB间的高度。
【答案】
\(\frac{1}{8}\)g(t12-t22)
【解析】
根据对称性可知,从最高点落至A、B点的时间分别为\(\frac{{{t_1}}}{2}\)、\(\frac{{{t_2}}}{2}\),由自由落体规律可得:
hAB=\(\frac{1}{2}\)g(\(\frac{{{t_1}}}{2}\))2-\(\frac{1}{2}\)g(\(\frac{{{t_2}}}{2}\))2=\(\frac{1}{8}\)g(t12-t22)。
31.甲、乙两车相距s0=40.5 m,同时沿平直公路做直线运动。甲车在前,以初速度v1=16 m/s、加速度为a1=-2 m/s2做匀减速直线运动;乙车在后,以初速度v2=4 m/s、加速度a2=1 m/s2与甲同向做匀加速直线运动,求:
(1)乙车追上甲车经历的时间;
(2)甲、乙两车相遇前相距的最大距离。
【答案】
(1)11 s
(2)64.5 m
【解析】
(1)乙车追上甲车时应满足:
s乙=s0+s甲
有可能在追上前甲车停止运动(这就是在匀减速运动中常见的刹车陷阱),解题时可以设在追上前甲车已停止,则有:
v2t+\(\frac{1}{2}\)a2t2=s0+\(\frac{{v_1^2}}{{2{a_1}}}\)
4t+0.5t2=40.5+64
t=11 s
甲车停下所需的时间为=8 s<11 s,因此假设成立。
(2)两者在速度相同时相距最远,设用时t,有
v1-a1t=v2+a2t
16-2t=4+t
t=4 s
Δs=s甲+s0-s乙
=(v1t-\(\frac{1}{2}\)a2t2)+s0-(v2t+\(\frac{1}{2}\)a2t2)
=(48+40.5-24)m
=64.5 m
32.古希腊哲学家亚里士多德认为重的物体比轻的物体坠落的快。意大利科学家伽利略对这个论断提出了质疑:
①根据这一论断,一块大石头比一块小石头的下落速度大;
②假定一块大石头下落速度为8个单位,一块小石头下落速度为4个单位;
③……
④由此从“重物比轻物落得快”的结论推出了相互矛盾的结果。
(1)请将伽利略的推理分析步骤③补充完整:
(2)请你设计一个简单的小实验,来证明实际生活中,重的物体并不一定比轻的物体下落的快。
【答案】
(1)当把两块石头捆在一起时,大石头会被小石头拖着而减慢,结果整个系统的下落速度应该小于8个单位;但两块石头捆在一起,总的重量比大石头还要重,因此整个系统下落的速度要比8个单位还大。
(2)略(合理即可,可引导学生综合运用控制变量等方法设计实验方案)
【解析】
无
33.如何利用所学的直线运动的知识,设计测量一口深井深度的方案。写出需要测量的物理量和校园查询的参数,并计算出井的深度。
【答案】
只要合理均可(样例:找一小石子从井口静止释放,用计时仪器测出从释放到听到石子下落到水面声音的时间间间隔t,查出声音在空气中的传播速度v声,利用自由落体运动和匀速直线运动规律,即可计算出井的深度)
2006 - 2026,推荐分辨率 1024*768 以上,推荐浏览器 Chrome、Edge 等现代浏览器,截止 2021 年 12 月 5 日的访问次数:1872 万 9823。 站长邮箱
