1.2015年7月,世界大学生运动会在韩国举行,竞技水平总体较上届明显提高,下列有关参考系和质点的说法正确的是( )
(A)研究乒乓球运动员比赛中发出的弧旋球时,可以把乒乓球视为质点
(B)看台远方的观众观看跳水运动员的动作时,可将运动员视为质点
(C)跳水运动员在下落的过程中,感觉水面在上升
(D)双人跳水运动,可以选甲运动员为参考系来研究乙运动员的运动
【答案】
CD
【解析】
研究乒乓球的旋转时,大小和形状对于所研究的问题不可忽略,观看跳水运动员的动作也是如此,故A、B错误。跳水运动员下落过程,以运动员为参考系,水面在上升,C正确。在研究物体的运动时,参考系的选取可以任意,D正确。
2.
汽车启动后经过45 s,速度表的指针指在如图所示的位置,由表可知( )
(A)启动后45 s内汽车的平均速度是110 m/s
(B)启动后45 s内汽车的平均速度是110 km/h
(C)此时汽车的瞬时速度是110 m/s
(D)此时汽车的瞬时速度是110 km/h
【答案】
D
【解析】
速度表指示的是瞬时速度,单位为km/h。平均速度等于位移除以时间,无法知道位移,也就不能求得45 s内的平均速度。
3.下列说法正确的是( )
(A)物体的速度变化越快,加速度就越大
(B)物体有加速度,速度就增加
(C)物体的速度变化量Δv越大,加速度就越大
(D)物体运动的加速度等于零,则物体一定静止
【答案】
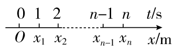
A
【解析】
由a=\(\frac{{\Delta v}}{{\Delta t}}\)可知,速度变化越快,加速度就越大,而Δv越大,加速度不一定越大,故A正确、C错误。物体有加速度,速度可能减小,故B错误。加速度等于零,物体处于静止或匀速直线运动,故D错误。
4.以下情景中,加下划线的人或物体可看成质点的是( )
(A)研究飞行中直升飞机上的螺旋桨的转动情况
(B)绕地球公转的月球
(C)研究航天员翟志刚在太空出舱挥动国旗的动作
(D)用GPS确定打击海盗的“武汉”舰在大海中的位置
【答案】
BD
【解析】
能否将物体看成质点,要看物体本身因素对所研究问题的影响,螺旋桨和翟志刚若视为质点,则无法研究螺旋桨的转动情况和翟志刚的动作,故A、C错误。物体的形状大小可以忽略时,可视为质点,故B、D正确。
5.在研究物体的运动时,力学中引入“质点”的概念,从科学方法上来说属于( )
(A)极限分析物理问题的方法 (B)观察实验的方法
(C)建立理想物理模型的方法 (D)等效替代的方法
【答案】
C
6.研究下列各种运动情况时(如图),哪些情况可以将研究对象视为质点( )

【答案】
BC
【解析】
选项B中的火车,选项C中的飞船,其形状和大小对所研究的问题没有影响,可以看作质点,故B、C正确;选项A中火车的长度,选项D中两位运动员的身体对所研究的问题有影响,其大小、形状不可忽略,不能视为质点,故A、D错误。
7.下列所说的速度中,哪些是平均速度,哪些是瞬时速度?
①百米赛跑的运动员以9.5 m/s的速度冲过终点线;
②经提速后列车的速度达到150 km/h;
③由于堵车,车在隧道内的速度仅为1.2 m/s;
④返回地面的太空舱以8 m/s的速度落入太平洋中;
⑤子弹以800 m/s的速度撞击在墙上。
表示平均速度的是________,表示瞬时速度的是______________。
【答案】
②③,①④⑤
【解析】
①中运动员冲过终点时的速度,④中太空舱落入太平洋中的速度,⑤中子弹撞击墙时的速度,这三个速度强调的是某一位置或某一时刻的速度属于瞬时速度。②③中提到的速度只是粗略描述列车行驶过程中的运动快慢,属于平均速度。
8.
一质点沿一边长为2 m的正方形轨道运动,每秒钟匀速移动1 m,初始位置在bc边的中点A,由b向c运动,如图所示,A、B、C、D分别是bc、cd、da、ab边的中点,则下列说法正确的是( )
(A)第2 s末的瞬时速度是1 m/s
(B)前2 s内的平均速度为 m/s
(C)前4 s内的平均速率为0.5 m/s
(D)前2 s内的平均速度为2 m/s
【答案】
AB
【解析】
由题意质点每1 s匀速移动1 m可知,质点运动的速率为1 m/s,即在每一时刻的瞬时速率均为1 m/s,每段时间内的平均速率也均为1 m/s。在2 s内质点通过的路程为2 m,由A运动到cd边的中点B,在第2 s末瞬时速度大小为1 m/s,方向由B指向d,瞬时速率为1 m/s,前2 s 内的位移大小为x1=|AB|=\(\sqrt {{\rm{A}}{{\rm{c}}^2} + {\rm{B}}{{\rm{c}}^2}} \)=\(\sqrt 2 \) m,平均速度\({\bar v_1}\)=\(\frac{{{x_1}}}{{{t_1}}}\)=\(\frac{{\sqrt 2 }}{2}\) m/s,方向由A指向B,平均速率为1 m/s。前4 s内质点通过的路程为4 m,在第4 s 末到达C点,则前4 s内位移大小为x2=|AC|=2 m,方向由A指向C,平均速度为\({\bar v_2}\)=\(\frac{{{x_2}}}{{{t_2}}}\)=0.5 m/s,方向由A指向C,平均速率仍为1 m/s。
9.一质点沿直线Ox方向做加速运动,它离开O点的距离x随时间变化的关系为x=3+2t3(m),它的速度随时间变化的关系为v=6t2(m/s)。则该质点在t=2 s时的瞬时速度和t=0到t=2 s间的平均速度分别为( )
(A)8 m/s,24 m/s (B)24 m/s,8 m/s
(C)12 m/s,24 m/s (D)24 m/s,12 m/s
【答案】
B
【解析】
由速度随时间变化关系公式可得t=2 s时的速度为:v=6t2 m/s=6×22 m/s=24 m/s;由x与t的关系得出各时刻对应的位置,再利用平均速度公式可得t=0到t=2 s 间的平均速度为:\({\bar v_1}\)=\(\frac{{\Delta x}}{{\Delta t}}\)=\(\frac{{19 - 3}}{2}\) m/s=8 m/s,故B正确。
10.甲、乙两个物体沿同一直线向同一方向运动时,取物体的初速度方向为正,甲的加速度恒为2 m/s2,乙的加速度恒为-3 m/s2,则下列说法中正确的是( )
(A)两物体都做加速直线运动,乙的速度变化快
(B)甲做加速直线运动,它的速度变化快
(C)乙做减速直线运动,它的速度变化率大
(D)甲的加速度比乙的加速度大
【答案】
C
【解析】
加速度的正负代表与规定的正方向相同还是相反,不代表大小,所以a乙>a甲。甲的加速度方向与初速度方向相同,做加速直线运动,乙的加速度与初速度方向相反,做减速直线运动。因a乙>a甲,所以乙的速度变化率大。故C正确,A、B、D错误。
11.
如图是火箭点火升空瞬间的照片,关于这一瞬间火箭的速度和加速度的判断,下列说法正确的是( )
(A)火箭的速度很小,但加速度可能较大
(B)火箭的速度很大,加速度可能也很大
(C)火箭的速度很小,所以加速度也很小
(D)火箭的速度很大,但加速度一定很小
【答案】
A
【解析】
火箭点火瞬间,速度几乎为零,速度很小,而加速度是由火箭得到的反冲力产生的,而反冲力很大,故加速度可能很大。
12.根据给出的速度和加速度的正、负,对下列运动性质的判断正确的是( )
(A)v0>0,a<0,物体做加速运动 (B)v0<0,a<0,物体做加速运动
(C)v0<0,a>0,物体做减速运动 (D)v0>0,a>0,物体做加速运动
【答案】
BCD
【解析】
物体加速还是减速与a的正负或v的正负无关,只取决于a与v同向还是反向,a与v同向,物体加速,a与v反向,物体减速。故B、C、D正确。
13.
用如图所示的装置可以近似测出气垫导轨上滑块的瞬时速度。已知固定在滑块上的遮光条的宽度为 4.0 mm,遮光条经过光电门的遮光时间为 0.040 s,则滑块经过光电门位置时的速度大小为( )
(A)0.10 m/s (B)100 m/s (C)4.0 m/s (D)0.40 m/s
【答案】
A
【解析】
遮光条经过光电门的遮光时间很短,所以可以把遮光条经过光电门的平均速度当作滑块经过光电门位置时的瞬时速度,即v=\(\frac{d}{t}\)=\(\frac{{4.0 \times {{10}^{{\rm{ - }}3}}}}{{0.040}}\) m/s=0.10 m/s,A正确。
14.根据速度定义式v=\(\frac{{\Delta x}}{{\Delta t}}\),当Δt极短时,\(\frac{{\Delta x}}{{\Delta t}}\)就可以表示物体在t时刻的瞬时速度,由此可知,当Δt极短时,\(\frac{{\Delta v}}{{\Delta t}}\)就可以表示物体在t时刻的瞬时加速度。上面用到的物理方法分别是( )
(A)控制变量法,微元法 (B)假设法,等效法
(C)微元法,类比法 (D)极限法,类比法
【答案】
D
15.关于速度、速度改变量、加速度,正确的说法是( )
(A)物体运动的加速度越大,它的速度改变量一定越大
(B)速度很大的物体,其加速度可能为零
(C)某时刻物体的速度为零,它的加速度也一定为零
(D)加速度方向保持不变,速度方向必保持不变
【答案】
B
【解析】
物体的加速度越大,速度变化的越快,Δv=aΔt,Δv不一定越大,A错误。速度很大的匀速运动,其加速度a=0,故B正确。v=0时,加速度不一定为零,例如竖直上抛的最高点,C错误。a方向不变,v方向可变,例如竖直上抛,D错误。
16.从水平匀速飞行的直升机上向外自由释放一个物体,不计空气阻力,在物体下落过程中,下列说法正确的是( )
(A)从直升机上看,物体做自由落体运动
(B)从直升机上看,物体始终在直升机的后方
(C)从地面上看,物体做平抛运动
(D)从地面上看,物体做自由落体运动
【答案】
AC
【解析】
以直升机为参照物,物体做自由落体,始终在直升机正下方,因为物体释放时由于惯性,水平速度与直升机相同,从地面上看,物体做平抛运动,故A、C正确。
17.下列情况下的物体可以看作质点的是( )
(A)研究嫦娥三号在月球表面的着陆动作
(B)研究一列火车通过长江大桥所需的时间
(C)研究汽车通过某路标的时间时
(D)研究“蛟龙号”下潜到7000 m深度过程中的速度时
【答案】
D
【解析】
A、B、C中物体的形状、大小对研究的问题不能忽略,只有D正确。
18.下列关于质点的叙述中正确的是( )
(A)质点是真实存在的
(B)原子很小,所以原子就是质点
(C)质点是一种忽略次要因素的理想化模型
(D)地球的质量和体积都很大,所以不能看作质点
【答案】
C
【解析】
质点是忽略了物体的形状和大小而假想的有质量的点,是一种忽略次要因素的理想化模型,因此A错误,C正确。原子虽然很小,但是在研究其内部结构时,不能将原子看成质点,B错误。地球的质量和体积虽然很大,但在研究地球的公转时地球本身的形状和大小可以忽略,地球可以看成质点,D错误。
19.
《西游记》中,常常有孙悟空“腾云驾雾”的镜头,即使在科技日新月异的今天通常也采用“背景拍摄法”:让“孙悟空”站在平台上,做着飞行的动作,在他的背后展现出蓝天和急速飘动的白云,同时加上烟雾效果;摄影师把人物动作和飘动的白云及下面的烟雾等一起摄入镜头。放映时,观众就感受到“孙悟空”在“腾云驾雾”。这时,观众所选的参考系是( )
(A)孙悟空 (B)平台 (C)飘动的白云 (D)镜头
【答案】
C
【解析】
“背景拍摄法”实际是利用了相对运动的原理,拍摄时“孙悟空”整体不动,而“白云”移动,放映时,观众以“白云”为参考系,认为其“静止”,就会感觉到“孙悟空”在“腾云驾雾”。故C正确。
20.在中国海军护航编队“巢湖”舰、“千岛湖”舰护送下,“河北锦绣”“银河”等13艘货轮从南海顺利抵达亚丁湾西部预定海域。此次护航总航程4500海里。若所有船只运动速率相同,则下列说法正确的是( )
(A)“4500海里”指的是护航舰艇的位移
(B)研究舰队平均速度时可将“千岛湖”舰看作质点
(C)以“千岛湖”舰为参考系,“巢湖”舰一定是运动的
(D)根据题中数据可求出此次航行过程中的平均速度
【答案】
B
【解析】
“4500海里”指的是护航舰艇的路程,研究舰队平均速度时可将“千岛湖”舰看作质点,但题中未给出位移与时间,无法计算平均速度。因所有船只运动速率相同,若以“千岛湖”舰为参考系,“巢湖”舰不一定是运动的,故B正确。
21.
为了使公路交通有序、安全,路旁立了许多交通标志。如图所示,甲图是限速标志(白底、红圈、黑字),表示允许行驶的最大速率是80 km/h;乙图是路线指示标志,表示距杭州还有100 km。上述两个数据的物理意义是( )
(A)80 km/h是平均速度,100 km是位移
(B)80 km/h是平均速度,100 km是路程
(C)80 km/h是瞬时速度,100 km是位移
(D)80 km/h是瞬时速度,100 km是路程
【答案】
D
【解析】
80 km/h表示瞬时速度;100 km表示离杭州还有100 km的路程。
22.一个质点做方向不变的直线运动,加速度的方向始终与速度方向相同,但加速度大小逐渐减小直至为零,则在此过程中( )
(A)速度逐渐减小,当加速度减小到零时,速度达到最小值
(B)速度逐渐增大,当加速度减小到零时,速度达到最大值
(C)位移逐渐增大,当加速度减小到零时,位移将不再增大
(D)位移逐渐减小,当加速度减小到零时,位移达到最小值
【答案】
B
【解析】
加速度减小并不代表速度减小了,只是说明单位时间内速度的增加量小了,但仍是加速。
23.关于匀变速直线运动中的加速度的方向和正、负值问题,下列说法中正确的是( )
(A)匀加速直线运动中的加速度方向一定和初速度方向相同
(B)匀减速直线运动中加速度一定是负值
(C)匀加速直线运动中加速度也有可能取负值
(D)只有在规定了初速度方向为正方向的前提下,匀加速直线运动的加速度才取正值
【答案】
ACD
【解析】
只有加速度方向与初速度方向相同,物体才会做加速运动,所以A正确;若规定初速度方向为负方向,则减速运动时,加速度为正值,加速运动时,加速度为负值,所以B错误,C、D正确。
24.物体做直线运动时可以用坐标轴上的坐标表示物体的位置,用坐标的变化量Δx表示物体的位移。如图所示,一个物体从A运动到C,它的位移Δx1=-4 m-5 m=-9 m;从C运动到B,它的位移为Δx2=1 m-(-4 m)=5 m。正确的是( )

(A)C到B的位移大于A到C的位移,因为正数大于负数
(B)A到C的位移大于C到B的位移,因为符号表示位移的方向,不表示大小
(C)因为位移是矢量,所以这两个矢量的大小无法比较
(D)物体由A到B的合位移Δx=Δx1+Δx2
【答案】
BD
【解析】
位移的正负代表方向,不代表大小,所以A到C的位移Δx1大于C到B的位移Δx2,故A、C错误,B正确。A到B的合位移Δx=1 m-5 m=-4 m=Δx1+Δx2,故D正确。
25.
一物体做直线运动,在图中所示的位移坐标轴上O、x1、x2、…、xn-1、xn分别为物体在开始和第1 s末、第2 s末、…、第(n-1) s末、第n s末的位置,则下述说法中正确的是( )
(A)Ox2为第2 s内的位移,方向由O指向x2
(B)Oxn-1为(n-1) s内的位移,方向由O指向xn-1
(C)x2xn为前2n s内的位移,方向由x2指向xn
(D)xn-1xn为第n s内的位移,方向由xn-1指向xn
【答案】
BD
【解析】
题中O、x1、x2、…、xn-1、xn分别为不同位置,分别与各个时刻对应,而题中选项所列位移均与时间对应,其中Ox2为前2 s内的位移,Oxn-1为(n-1) s内的位移,x2xn为从第2 s末到第n s末的位移,xn-1xn为第n s内的位移,故B、D正确。
26.
如图所示的时间轴,下列关于时刻和时间间隔的说法中正确的是( )
(A)t2表示时刻,称为第2 s末或第3 s初,也可以称为2 s内
(B)t2~t3表示时间,称为第3 s内
(C)t0~t2表示时间,称为最初2 s内或前2 s内
(D)tn-1~tn表示时间,称为第(n-1) s内
【答案】
BC
【解析】
时刻和时间分别对应于时间轴上的一个点和一个线段。tn是时刻,可表述为第n s末或第(n+1) s初;n s内不等于第n s内,n s内是指从0~n s末共n s的时间;第n s内是指从(n-1) s末至n s末共1 s的时间,故A、D均错,B、C正确。
27.
一个人晨练,走中国古代的八卦图,如图所示,中央的S部分是两个直径为R的半圆,BD、CA分别为西东、南北指向。他从A点出发沿曲线ABCOADC行进,则当他走到D点时,求他的路程和位移的大小分别为多少?位移的方向如何?
【答案】
路程和位移的大小分别为\(\frac{5}{2}\)πR和\(\sqrt 2 \)R,位移的方向为东南方向。
【解析】
路程是标量,等于半径为R与半径为\(\frac{R}{2}\)的两圆周长之和减去半径为R的圆周长的\(\frac{1}{4}\),即s=2πR+2π·\(\frac{R}{2}\)-\(\frac{1}{4}\)·2πR=\(\frac{5}{2}\)πR。位移是矢量,大小为AD线段的长度,由直角三角形知识得AC=\(\sqrt 2 \)R,方向由A指向D,即东南方向。
28.以36 km/h 的速度沿平直公路行驶的汽车,遇障碍物刹车后获得大小为a=4 m/s2的加速度,刹车后第3 s内,汽车走过的路程为( )
(A)12.5 m (B)2 m (C)10 m (D)0.5 m
【答案】
D
【解析】
由v=at可得刹车到静止所需时间t=2.5 s,则第3 s 内的位移,实际上就是2~2.5 s内的位移,由逆向思维得s=\(\frac{1}{2}\)at′2=0.5 m。故D正确。
29.一个物体从静止开始做匀加速直线运动,它在第1 s内与第2 s内的位移之比为x1∶x2,在走完第1 m时与走完第2 m时的速度之比为v1∶v2。以下说法正确的是( )
(A)x1∶x2=1∶3,v1∶v2=1∶2
(B)x1∶x2=1∶3,v1∶v2=1∶\(\sqrt 2 \)
(C)x1∶x2=1∶4,v1∶v2=1∶2
(D)x1∶x2=1∶4,v1∶v2=1∶\(\sqrt 2 \)
【答案】
B
【解析】
由x=\(\frac{1}{2}\)at2知第1 s内与第2 s内位移之比x1∶x2=1∶3,由v=\(\sqrt {2as} \)知走完第1 m时与走完第2 m时速度之比为v1∶v2=1∶\(\sqrt 2 \),故B正确。
30.小鹏摇动苹果树,从同一高度一个苹果和一片树叶同时从静止直接落到地上,苹果先落地,下面说法中正确的是( )
(A)苹果和树叶做的都是自由落体运动
(B)苹果和树叶的运动都不能看成自由落体运动
(C)苹果的运动可看成自由落体运动,树叶的运动不能看成自由落体运动
(D)假如地球上没有空气,则苹果和树叶也不会同时落地
【答案】
C
【解析】
由于树叶所受到的空气阻力相对于树叶的重力来说太大了,但相对而言苹果所受到的空气阻力比其重力小得多,可以忽略,所以树叶的下落过程不是自由落体运动,而苹果的运动可以看作是自由落体运动,故A、B错误,C正确;如果地球上没有空气,则苹果和树叶都做自由落体运动,由h=\(\frac{1}{2}\)gt2知,二者会同时落地,D错误。
31.在光滑足够长的斜面上,有一物体以10 m/s初速度沿斜面向上运动,如果物体的加速度始终为5 m/s2,方向沿斜面向下。那么经过3 s时的速度大小和方向是( )
(A)25 m/s,沿斜面向上 (B)5 m/s,沿斜面向下
(C)5 m/s,沿斜面向上 (D)25 m/s,沿斜面向下
【答案】
B
【解析】
由v=v0-at得v=10 m/s-15 m/s=-5 m/s,负号代表方向沿斜面向下,故B正确。
32.一个氢气球以8 m/s2的加速度由静止从地面竖直上升,5 s末从气球上掉下一重物(忽略空气阻力,g=10 m/s2),则:
(1)此重物最高可上升到距地面多高处?
(2)此重物从气球上掉下后,经多长时间落回地面?
【答案】
(1)180 m
(2)10 s
【解析】
(1)5 s末重物的速度:v=at=8×5 m/s=40 m/s,5 s内上升的高度:h=\(\frac{1}{2}\)at2=×8×52 m=100 m,重物从气球脱离后上升的高度:h′=\(\frac{{{v^2}}}{{2g}}\)=\(\frac{{{{40}^2}}}{{2 \times 10}}\) m=80 m,则距离地面的最大高度:H=100 m+80 m=180 m。
(2)方法一:重物从气球上脱离后上升所用时间:t′=\(\frac{v}{g}\)=\(\frac{{40}}{{10}}\) s=4 s
设从最高点下落到地面的时间为t″,
则:H=\(\frac{1}{2}\)gt″2,即180 m=\(\frac{1}{2}\)gt″2
解得:t″=6 s,则:t总=4 s+6 s=10 s。
方法二:以竖直向上为正方向,重物掉落时距地面高度h=\(\frac{1}{2}\)at=100 m,则有-h=v0t-\(\frac{1}{2}\)gt2,v0=at1=40 m/s,求得t=10 s。
33.一位同学在某星球上完成自由落体运动实验:让一个质量为2 kg的小球从一定的高度自由下落,测得在第5 s内的位移是18 m,则( )
(A)小球在2 s末的速度是20 m/s
(B)小球在第5 s内的平均速度是3.6 m/s
(C)小球在第2 s内的位移是20 m
(D)小球在前5 s内的位移是50 m
【答案】
D
34.
如图所示,一杂技演员用一只手抛球、接球,他每隔0.4 s抛出一球,接到球便立即把球抛出。已知除抛、接球的时刻外,空中总有4个球,将球的运动近似看做是竖直方向的运动,球到达的最大高度是(高度从抛球点算起,取g=10 m/s2)( )
(A)1.6 m (B)2.4 m (C)3.2 m (D)4.0 m
【答案】
C
35.
一物块(可看成质点)以一定的初速度从一光滑斜面底端A点上滑,最高可滑到C点,已知AB是BC的3倍,如图所示,已知物块从A到B所需时间为t0,则它从B经C再回到B,需要的时间是( )
(A)t0 (B)\(\frac{{{t_0}}}{4}\) (C)2t0 (D)\(\frac{{{t_0}}}{2}\)
【答案】
C
【解析】
将物块从A到C的匀减速直线运动,运用逆向思维可看成从C到A的初速度为零的匀加速直线运动,根据初速度为零的匀加速直线运动规律,可知连续相邻相等的时间内位移之比为奇数比,而CB∶AB=1∶3,正好符合奇数比,故tAB=tBC=t0,且从B到C的时间等于从C到B的时间,故从B经C再回到B需要的时间是2t0,C对。
36.一个质点正在做匀加速直线运动,用固定的照相机对该质点进行闪光照相,闪光时间间隔为1 s,分析照片得到的数据,发现质点在第1次、第2次闪光的时间间隔内移动了0.2 m;在第3次、第4次闪光的时间间隔内移动了0.8 m,由上述条件可知( )
(A)质点运动的加速度是0.6 m/s2
(B)质点运动的加速度是0.3 m/s2
(C)第1次闪光时质点的速度是0.1 m/s
(D)第2次闪光时质点的速度是0.3 m/s
【答案】
B
【解析】
由Δx=aT2和逐差法可得质点运动的加速度是0.3 m/s2,选项A错误,B正确;第1次、第2次闪光的时间间隔内中间时刻的速度v=0.2 m/s,第1次闪光时质点的速度是v1=v-aT/2=(0.2-0.3×0.5) m/s=0.05 m/s,第2次闪光时质点的速度是v2=v+aT/2=(0.2+0.3×0.5) m/s=0.35 m/s,选项C、D错误。
37.
如图所示,一小滑块沿足够长的斜面以初速度v向上做匀减速直线运动,依次经A、B、C、D到达最高点E,已知AB=BD=6 m,BC=1 m,滑块从A到C和从C到D所用的时间都是2 s。设滑块经C时的速度为vC,则( )
(A)滑块上滑过程中加速度的大小为0.5 m/s2
(B)vC=6 m/s
(C)DE=3 m
(D)从D到E所用时间为4 s
【答案】
AD
【解析】
据题意,由于滑块向上做匀减速直线运动,则有:xCD-xAC=aT2,则a=-0.5 m/s2,故A选项正确;据匀变速直线运动中某段时间内的平均速度等于该段时间中点时刻的瞬时速度,则有vC=\(\frac{{{x_{AD}}}}{{2T}}\)=3 m/s,故B选项错误;据vC2=2axCE可得xDE=xCE-xCD=4 m,故C选项错误;据逆向分析有:xDE=\({\frac{1}{2}}\)atED2,则tED=4 s,所以D选项正确。
38.从某一高度相隔1 s先后释放两个相同的小球甲和乙,不计空气阻力,它们在空中任一时刻( )
(A)甲乙两球距离始终不变,甲乙两球速度之差保持不变
(B)甲乙两球距离越来越大,甲乙两球速度之差也越来越大
(C)甲乙两球距离越来越大,甲乙两球速度之差保持不变
(D)甲乙两球距离越来越小,甲乙两球速度之差也越来越小
【答案】
C
39.一旅客在站台8号车厢候车线处候车,若动车一节车厢长25米,动车进站时可以看做匀减速直线运动。他发现第6节车厢经过他用了4 s,动车停下时旅客刚好在8号车厢门口,如图所示。则该动车的加速度大小约为( )

(A)2 m/s2 (B)1 m/s2 (C)0.5 m/s2 (D)0.2 m/s2
【答案】
C
40.滑板爱好者由静止开始沿一斜坡匀加速下滑,经过斜坡中点时的速度为v,则到达斜坡底端时的速度为( )
(A)\(\sqrt 2 \)v (B)\(\sqrt 3 \)v (C)2v (D)\(\sqrt 5 \)v
【答案】
A
41.接连发生的马航MH370失事和台湾复兴航空客机的坠毁,使人们更加关注飞机的安全问题。假设飞机从静止开始做匀加速直线运动,经时间t0=28 s,在速度达到v0=70 m/s时驾驶员对发动机的运行状态进行判断,在速度达到v1=77 m/s时必须做出决断,可以中断起飞或继续起飞;若速度超过v2=80 m/s就必须起飞,否则会滑出跑道。已知从开始到离开地面的过程中,飞机的加速度保持不变。
(1)求正常情况下驾驶员从判断发动机运行状态到做出决断中止起飞的最长时间;
(2)若在速度达到v2时,由于意外必须停止起飞,飞机立即以4 m/s2的加速度做匀减速运动,要让飞机安全停下来,求跑道的最小长度。
【答案】
(1)2.8 s
(2)2080 m
【解析】
(1)设飞机加速过程的加速度为a1,允许驾驶员做出决断中止起飞的最长时间为Δt
v0=a1t0,v1-v0=a1Δt
解得Δt=2.8 s
(2)飞机从静止到速度为v2时的位移大小为x1,飞机减速时位移大小为x2,跑道最小长度为x
v22=2a1x1,v22=2a2x2
x=x1+x2
解得x=2080 m
42.中国首架空客A380大型客机在最大重量的状态下起飞需要滑跑距离约为3000 m,着陆距离大约为2000 m。设起飞滑跑和着陆时都是匀变速运动,起飞时速度是着陆时速度的1.5倍,则起飞滑跑时间和着陆滑跑时间之比是( )
(A)3∶2 (B)1∶1 (C)1∶2 (D)2∶1
【答案】
B
43.一物体以初速度为v0做匀减速运动,第1 s内通过的位移为x1=3 m,第2 s内通过的位移为x2=2 m,又经过位移x3,物体的速度减小为0,则下列说法中不正确的是( )
(A)初速度v0的大小为2.5 m/s
(B)加速度a的大小为1 m/s2
(C)位移x3的大小为\(\frac{9}{8}\) m
(D)位移x3内的平均速度大小为0.75 m/s
【答案】
A
45.
用如图所示的方法可以测出一个人的反应时间。甲同学用手握住直尺顶端刻度为零的地方,乙同学在直尺下端刻度为a的地方做捏住直尺的准备,但手没有碰到直尺,当乙同学看到甲同学放开直尺时,立即捏住直尺,乙同学发现捏住直尺的位置刻度为b。已知重力加速度为g,a、b的单位为国际单位制基本单位,则乙同学的反应时间t约等于( )
(A)\(\sqrt {\frac{{2a}}{g}} \) (B)\(\sqrt {\frac{{2b}}{g}} \)
(C)\(\sqrt {\frac{{2(b - a)}}{g}} \) (D)\(\sqrt {\frac{{2(a - b)}}{g}} \)
【答案】
D
46.某动车组列车以平均速度v从甲地开到乙地所需的时间为t,该列车以速度v0从甲地出发匀速前进,途中接到紧急停车命令紧急刹车,列车停车后又立即匀加速到v0继续匀速前进,从开始刹车至加速到v0的时间是t0(列车刹车过程与加速过程中的加速度大小相等),若列车仍要在t时间内到达乙地,则动车组列车匀速运动的速度v0应为( )
(A)\(\frac{{vt}}{{t - {t_0}}}\) (B)\(\frac{{vt}}{{t + {t_0}}}\) (C)\(\frac{{vt}}{{t - \frac{1}{2}{t_0}}}\) (D)\(\frac{{vt}}{{t + \frac{1}{2}{t_0}}}\)
【答案】
C
47.物体由静止开始做加速度大小为a1的匀加速直线运动,当速度达到v时,改为加速度大小为a2的匀减速直线运动,直至速度为零。在匀加速和匀减速运动过程中物体的位移大小和所用时间分别为x1、x2和t1、t2,下列各式不成立的是( )
(A)\(\frac{{{x_1}}}{{{x_2}}}\)=\(\frac{{{t_1}}}{{{t_2}}}\) (B)\(\frac{{{a_1}}}{{{a_2}}}\)=\(\frac{{{t_1}}}{{{t_2}}}\) (C)\(\frac{{{x_1}}}{{{t_1}}}\)=\(\frac{{{x_2}}}{{{t_2}}}\)=\(\frac{{{x_1} + {x_2}}}{{{t_1} + {t_2}}}\) (D)v=\(\frac{{2({x_1} + {x_2})}}{{{t_1} + {t_2}}}\)
【答案】
B
48.
伽利略为了研究自由落体的规律,将落体实验转化为著名的“斜面实验”,对于这个研究过程,下列说法正确的是( )
(A)斜面实验放大了重力的作用,便于测量小球运动的路程
(B)斜面实验“冲淡”了重力的作用,便于小球运动时间的测量
(C)通过对斜面实验的观察与计算,直接得到自由落体的运动规律
(D)根据斜面实验结论进行合理的外推,得到自由落体的运动规律
【答案】
BD
49.做匀减速直线运动的质点,它的加速度大小为a,初速度大小为v0,经过时间t速度减小到零,则它在这段时间内的位移大小可用下列哪些式子表示( )
(A)v0t-\(\frac{1}{2}\)at2 (B)v0t (C)\(\frac{{{v_0}t}}{2}\) (D)\(\frac{1}{2}\)at2
【答案】
ACD
50.给滑块一初速度v0 ,使它沿光滑斜面向上做匀减速运动,加速度大小为\(\frac{g}{2}\),当滑块速度大小减为\(\frac{{v_0}}{2}\)时,所用时间可能是( )
(A)\(\frac{{{v_0}}}{{2g}}\) (B)\(\frac{{{v_0}}}{g}\) (C)\(\frac{{3{v_0}}}{g}\) (D)\(\frac{{3{v_0}}}{{2g}}\)
【答案】
BC
51.
如图所示,t=0时,质量为0.5 kg的物体从光滑斜面上的A点由静止开始下滑,经过B点后进入水平面(经过B点前后速度大小不变),最后停在C点。每隔2 s物体的瞬时速度记录在下表中,重力加速度g=10 m/s2,则下列说法中正确的是( )
|
t/s |
0 |
2 |
4 |
6 |
|
v/m·s-1 |
0 |
8 |
12 |
8 |
(A)t=3 s的时刻物体恰好经过B点
(B)t=10 s的时刻物体恰好停在C点
(C)物体运动过程中的最大速度为12 m/s
(D)A、B间的距离小于B、C间的距离
【答案】
BD
52.一个物体0时刻从坐标原点O由静止开始沿+x方向做匀加速直线运动,速度与坐标的关系为v=\(\sqrt {6x} \) (m/s),求:
(1)2 s末物体的位置坐标;
(2)物体通过区间150 m≤x≤600 m所用的时间。
【答案】
(1)6 m
(2)10 s
53.如图1所示,在成都天府大道某处安装了一台500万像素的固定雷达测速仪,可以准确抓拍超速车辆以及测量运动车辆的加速度。一辆汽车正从A点迎面驶向测速仪B,若测速仪与汽车相距355 m,此时测速仪发出超声波,同时车由于紧急情况而急刹车,汽车运动到C处与超声波相遇,当测速仪接受到发射回来的超声波信号时,汽车恰好停止于D点,且此时汽车与测速仪相距335 m,忽略测速仪安装高度的影响,可简化为图2所示分析(已知超声波速度为340 m/s)。

(1)求汽车刹车过程中的加速度a;
(2)此路段有80 km/h的限速标志,分析该汽车刹车前的行驶速度是否超速?
【答案】
(1)10 m/s2
(2)不超速
54.
甲、乙两物体均做直线运动,它们在某段时间内的位移x随时间t变化的图象如图所示,则在0~t1时间内,下列判断正确的是( )
(A)甲物体做加速运动
(B)甲、乙两物体运动方向相同
(C)甲的平均速度比乙的平均速度大
(D)甲、乙两物体的平均速度大小相等
【答案】
D
【解析】
位移图象斜率表示物体的速度,故甲的速度不断减小,做减速运动,A项错;两物体在0~t1时间内,甲的位移Δx甲=x2-x1,乙的位移Δx乙=x1-x2,位移大小相等、方向相反,故平均速度大小相等、方向相反,B、C项错,D项正确。
55.
上海F1车赛于2014年4月18日至20日在上海奥迪国际赛车场举行。其中有甲、乙两赛车从同一起跑线上同时启动并且沿平直路面同向前进,在t=0到t=t1时间内,它们的速度随时间变化的图象如图所示。则下列说法正确的是( )
(A)t1时刻,乙车从后面追上甲车
(B)t1时刻,两车第一次相距最远
(C)t1时刻,两车的加速度刚好相等
(D)0到t1时间内,乙车的平均速度大于甲车的平均速度
【答案】
B
【解析】
在0~t1时间,甲图象的面积大于乙图象的面积,甲车位移(或平均速度)大于乙车的位移(或平均速度),乙车追甲车,在t1时刻,两车速度相等,相距最远,选项B正确,A、D错误;在t1时刻两图象斜率不相等,即加速度不相等,选项C错误。
56.下列给出的四组图象中,能够反映同一直线运动的是( )

【答案】
BC
【解析】
由A、B选项中的v-t图象可知,0~3 s内物体做匀速运动,加速度为零,3~5 s内,物体做匀加速运动,加速度a=2 m/s2,故A错误,B正确;由C、D选项中的x-t图象可知,0~3 s内,物体静止不动,v=0,a=0;3~5 s内物体做匀速运动,v=2 m/s,a=0,故C正确,D错误。
57.
利用传感器与计算机结合,可以自动做出物体运动的图象。某同学在一次实验中得到运动小车的速度-时间图象如图所示,由此图象可知( )
(A)18 s时的加速度大于13 s时的加速度
(B)小车做曲线运动
(C)13 s末小车距离出发点最远
(D)小车前10 s内的平均速度比后10 s内的大
【答案】
A
【解析】
由v-t图象的斜率大小表示小车的加速度大小可知,18 s时小车的加速度大于13 s时小车的加速度,A正确;v-t图象只表示直线运动,B错误;小车在0~20 s内速度方向不变,故t=20 s时小车离出发点最远,C错误;由x前10 s<x后10 s,\(\bar v = \frac{x}{t}\)可知D错误。
58.在水平轨道上有两列火车A和B相距x,A车在后面做初速度为v0、加速度大小为2a的匀减速直线运动,而B车同时做初速度为零、加速度为a的匀加速直线运动,两车运动方向相同。要使两车不相撞,求A车的初速度v0满足什么条件。
【答案】
v0<\(\sqrt {6ax} \)
59.甲、乙两车相距40.5 m,同时沿平直公路做直线运动,甲车在前,以初速度v1=16 m/s,加速度a1=2 m/s2做匀减速直线运动,乙车在后,以初速度v2=4.0 m/s,加速度a2=1.0 m/s2与甲同向做匀加速直线运动。求:
(1)甲、乙两车相遇前相距的最大距离;
(2)乙车追上甲车经历的时间。
【答案】
(1)64.5 m
(2)11.0 s
60.一辆值勤的警车停在公路边,当警员发现从他旁边以10 m/s 的速度匀速行驶的货车有违章行为时,决定前去追赶,经过2 s后警车发动起来,并以2 m/s2的加速度做匀加速运动,试问 :
(1)警车在追赶货车的过程中,两车间的最大距离是多少?
(2)若警车能达到的最大速度vm=12 m/s,达到最大速度后以该速度匀速运动,则警车发动后要多长时间才能追上货车?
【答案】
(1)45 m
(2)28 s
61.
如图所示为甲、乙两个物体在同一条直线上运动的v-t图象,t=0时两物体相距3s0,在t=1 s时两物体相遇,则下列说法正确的是( )
(A)t=0时,甲物体在前,乙物体在后
(B)t=2 s时,两物体相距最远
(C)t=3 s时,两物体再次相遇
(D)t=4 s时,甲物体在乙物体后2s0处
【答案】
C
【解析】
由速度图象可知在第1 s内,甲物体的位移大于乙物体的位移,由题意知,在t=1 s时两物体相遇,所以在t=0时,甲物体在后,乙物体在前,A项错;图线与坐标轴所围面积差表示两物体间位移差,故第1 s内,两物体的位移差等于第2 s内两物体位移差的3倍,第1 s末,两物体在同一位置,故t=2 s时,两物体间距为s0,甲在前乙在后,B项错;第1 s 末到第3 s末,两物体位移相等,即两物体再次相遇,C项正确;由图象可知,0~4 s内,两物体位移相等,故t=4 s时,甲物体在乙物体后3s0处,D项错。
62.
高空跳水是一项惊险刺激的体育运动项目。自某运动员离开跳台开始计时,在t2时刻运动员以速度v2落水,选向下为正方向,其速度随时间变化的规律如图所示,下列结论正确的是( )
(A)该运动员在0~t2时间内加速度大小先减小后增大,加速度的方向不变
(B)该运动员在t2~t3时间内加速度大小逐渐减小,方向竖直向下
(C)在0~t2时间内,平均速度\({\bar v_1}\)=\(\frac{{{v_1} + {v_2}}}{2}\)
(D)在t2~t3时间内,平均速度\({\bar v_2}\)=\(\frac{{0 + {v_2}}}{2}\)
【答案】
C
【解析】
由图象可知,在0~t2时间内运动员的加速度一直不变,A项错误。在t2~t3时间内图线上各点切线的斜率的大小逐渐减小,则加速度大小逐渐减小,运动员减速下落,加速度方向向上,B项错误。由图象可知,在0~t2时间内为匀变速直线运动,所以平均速度\({\bar v_1}\)=\(\frac{{{v_1} + {v_2}}}{2}\),C项正确。在t2~t3时间内,由图线与t轴所围面积表示位移可知,此时间内的平均速度\({\bar v_2}\)<\(\frac{{0 + {v_2}}}{2}\),D项错误。
63.
如图所示,Ⅰ、Ⅱ分别是甲、乙两小球从同一地点沿同一直线运动的vt图线,根据图线可以判断( )
(A)甲、乙两小球做的是初速度方向相反的匀变速直线运动,加速度大小相同,方向相同
(B)两球在t=8 s时相距最远
(C)两球在t=2 s时刻速率相等
(D)两球在t=8 s时相遇
【答案】
CD
【解析】
甲小球的加速度大小为10 m/s2,方向为负,乙小球的加速度大小为\(\frac{{20}}{3}\) m/s2,方向为正,故A项错;t=2 s时,乙小球的速率为20 m/s,甲小球的速率为20 m/s,C项正确;在t=8 s时,它们都回到了出发点,所以此时相遇,B项错误、D项正确。
64.在十字路口,红灯拦停了很多汽车和行人,拦停的汽车排成笔直的一列,最前面一辆汽车的前端刚好与路口停车线相齐,相邻两车的前端间距均为d=6.0 m,且车长为L0=4.8 m,最前面的行人站在横道线边缘,已知横道线宽s=20 m。若汽车启动时都以a1=2.5 m/s2的加速度做匀加速直线运动,加速到v1=10.0 m/s后做匀速直线运动通过路口。行人起步的加速度为a2=0.5 m/s2,达到v2=1.0 m/s后匀速通过横道线。已知该路口亮绿灯的时间t=40 s,而且有按倒计时显示的时间显示灯(无黄灯)。另外交通法规定:原在绿灯时通行的汽车,红灯亮起时,车头已越过停车线的允许通过。由于行人和汽车司机一直关注着红绿灯,因此可以不考虑行人和汽车的反应时间。
请回答下列问题:
(1)路口对面最前面的行人在通过横道线的过程中与几辆车擦肩而过?
(2)按题述情景,不能通过路口的第一辆汽车司机,在时间显示灯刚亮出“3”时开始刹车,使车匀减速运动,结果车的前端与停车线相齐,求刹车后汽车经多少时间停下?
【答案】
(1)31辆
(2)6.8 s
【解析】
(1)汽车加速时间t1=\(\frac{{{v_1}}}{{{a_1}}}\)=4.0 s,加速位移为x1=\(\frac{1}{2}\)a1t12=20 m
行人加速的时间t2=\(\frac{{{v_2}}}{{{a_2}}}\)=2.0 s,加速位移为x2=\(\frac{{{v_2}}}{2}\)t2=1 m
行人通过横道线的时间为t′=t2+\(\frac{{s - {x_2}}}{{{v_2}}}\)=21 s
在行人通过横道线的时间内汽车行驶位移
x3=x1+v1(t′-t1)=190 m
能到达横道线的车辆数N1=\(\frac{{{x_3}}}{d}\)=31.7,即第32辆车有一部分是行人离开横道线后从侧边走过,故取N1=31辆车擦肩而过。
(2)在亮灯t=40 s内汽车行驶的位移
x4=x1+v1(t-t1)=380 m
该时段内能通过路口的车辆N2=\(\frac{{{x_4}}}{d}\)=63.3,取整知N2=64,即第65辆车未能通过。
设t0=3 s时第65辆车行驶的位移为x5=x1+v1(t-t1-t0)=350 m,此时车离停车线的距离x6=64d-x1=34 m,故它停下的时间满足x6=\(\frac{{{v_1}}}{2}\)t3,解得t3=6.8 s
65.
如图所示是甲、乙两物体从同一点出发的位移-时间(x-t)图象,由图象可以看出在0~4 s这段时间内( )
(A)甲、乙两物体始终同向运动
(B)4 s时甲、乙两物体之间的距离最大
(C)甲的平均速度大于乙的平均速度
(D)甲、乙两物体之间的最大距离为3 m
【答案】
D
【解析】
由图象可知,甲物体在2 s后运动方向改变,所以选项A错误;2 s末甲、乙距离最大为3 m,所以选项B错误,选项D正确;0~4 s这段时间内甲、乙位移相等,所以平均速度相等,故选项C错误。
66.
某个物体在外力作用下,运动的vt图象如图(正弦曲线)所示,下列说法中正确的是( )
(A)物体整个运动过程中加速度大小变化,方向不变
(B)0~t1时间段内,物体所受外力越来越大
(C)0~t4时间段内,物体的位移为零
(D)t2时刻物体速度为零,此时加速度也为零
【答案】
C
【解析】
因v-t图的斜率代表加速度,由图可以看出加速度大小方向均改变,0~t1与t1~t2加速度的方向相反,t1~t2与t2~t3加速度方向相同,t2~t3与t3~t4加速度方向相反,故A项错误。0~t1加速度越来越小,所以外力越来越小,故B项错误。0~t4时间段内,vt图围成的面积为零,所以位移为零,故C项正确。t2时刻v=0而a最大,故D项错误。
67.
如图为做匀变速直线运动的质点在0~6 s内的位移-时间图线。若t=1 s时,图线所对应的切线斜率为4(单位:m/s),则( )
(A)t=1 s时,质点在x=2 m的位置
(B)t=1 s和t=5 s时,质点的速率相等
(C)t=1 s和t=5 s时,质点加速度的方向相反
(D)前5 s内,合外力对质点做正功
【答案】
B
【解析】
xt图斜率表示速度,t=1 s时,只知道切线斜率为4,则v=4 m/s,若初速度为零,x=\(\frac{v}{2}\)t=2 m,但题中并未说初速度是否为零,故A选项错误。t=1 s和t=5 s时,图象切线斜率绝对值相同,故速率相同,所以B选项正确。0~3 s斜率为正且变小,说明速度沿正方向减速,加速度为负方向;3~6 s斜率为负增大,说明速度沿负方向加速,加速度为负方向,故t=1 s和t=5 s时,加速度方向相同,C选项错误;t=0时的切线斜率大于t=5 s时切线斜率的绝对值,所以动能减小,合外力做负功,故D选项错误。
68.
在一平直路面上,甲、乙两车从同一地点同时出发,其运动的v-t图象如图所示。在乙车从开始运动到停下的过程中,下列说法正确的是( )
(A)甲车与乙车在t1时刻的距离达到最小值
(B)甲车与乙车在t2时刻的距离达到最大值
(C)甲车与乙车相遇两次
(D)甲车的平均速度小于乙车的平均速度
【答案】
D
69.
随着空气质量的恶化,雾霾现象增多,危害加重。雾和霾都是视程障碍物,会使有效水平能见度降低,从而带来行车安全隐患。在一大雾天,一辆小汽车以30 m/s的速度行驶在高速公路上,突然发现正前方30 m处有一辆大卡车以10 m/s的速度同方向匀速行驶,小汽车紧急刹车,刹车过程中刹车失灵。如图中a、b分别为小汽车和大卡车的v-t图线,以下说法正确的是( )
(A)因刹车失灵前小汽车已减速,不会追尾
(B)在t=5 s时追尾
(C)在t=3 s时追尾
(D)由于初始距离太近,即使刹车不失灵也会追尾
【答案】
C
【解析】
由图象可知,在t=5 s时,两车的速度相等,若此时小汽车与大卡车没有追尾,则以后再不会发生追尾。由vt图象与坐标轴所围图形的面积表示位移的大小可得:t=5 s时,xa-xb=35 m,t=3 s时,xa-xb=30 m,所以在t=3 s时,小汽车与大卡车出现了追尾,C正确。如果刹车不失灵,则两车在t=2 s时共速,此时xa-xb=20 m<30 m,故不会追尾,D错误。
70.汽车A在红绿灯前停住,绿灯亮起时启动,以0.4 m/s2的加速度做匀加速直线运动,30 s后以该时刻的速度做匀速直线运动,设在绿灯亮的同时,汽车B以8 m/s的速度从A车旁边驶过,且一直以此速度做匀速直线运动,运动方向与A车相同,则从绿灯亮时开始( )
(A)A车在加速过程中与B车相遇
(B)A、B两车相遇时速度相同
(C)相遇时A车做匀速运动
(D)A车追上B车后,两车不可能再次相遇
【答案】
CD
【解析】
A车在匀加速直线运动过程中的位移xA1=\(\frac{1}{2}\)aAt12=180 m,此过程中B车的位移xB1=vBt1=240 m>xA1,故A车在加速过程中没有与B车相遇,A错,C对;之后因vA=aAt1=12 m/s>vB,故A车一定能追上B车,相遇之后不能再相遇,A、B相遇时的速度一定不相同,B错,D对。
71.
甲、乙两质点从同一位置出发,沿同一直线路面运动,它们的v-t图象如图所示。对这两质点在0~3 s内运动的描述,下列说法正确的是( )
(A)t=2 s时,甲、乙两质点相遇
(B)在甲、乙两质点相遇前,t=1 s时,甲、乙两质点相距最远
(C)甲质点的加速度比乙质点的加速度小
(D)t=3 s时,乙质点在甲质点的前面
【答案】
BD
【解析】
由图可知,甲的加速度a甲=-\(\frac{2}{3}\) m/s2,做匀减速直线运动,乙的加速度a乙=0.5 m/s2,做匀加速直线运动,C错误;开始时甲速度大,甲在前,乙追甲的过程中,t=1 s前两者距离在增大,t=1 s时,两者速度相等,甲、乙两质点距离最大,故B正确;t=2 s时,分别求它们的位移x甲=\(\frac{8}{3}\) m,x乙=3 m,这时乙已在甲前,A错误,D正确。
72.
一辆汽车从甲地出发,沿平直公路开到乙地刚好停止,其速度图象如图所示。那么0~t和t~3t两段时间内,下列说法中正确的是( )
(A)加速度的大小之比为2∶1
(B)位移的大小之比为1∶2
(C)平均速度的大小之比为2∶1
(D)中间时刻速度的大小之比为1∶1
【答案】
ABD
73.某物体在t=0时刻的速度为零,则下列四个选项中表示该物体做往返运动的图象是( )

【答案】
ABD
【解析】
选项A中的位移图象的纵坐标代表位移,其值有时取正值,有时取负值,这说明该物体围绕起点做往返运动,选项A符合题意;v-t图象的纵坐标代表速度,速度的正负代表方向,速度取正值时代表速度方向与规定的正方向相同,取负值时代表物体的速度方向与正方向相反,可见选项B符合题意;根据选项C、D中的at图象作出对应的v-t图象(如下图所示),参考选项B的分析可知,选项C不符合题意,选项D符合题意。
74.
甲、乙两质点在同一时刻、从同一地点沿同一方向做直线运动。质点甲做初速度为零,加速度大小为a1的匀加速直线运动。质点乙做初速度为v0,加速度大小为a2的匀减速直线运动至速度减为零保持静止。甲、乙两质点在运动过程中的位移—速度图象如图所示,虚线与对应的坐标轴垂直。
(1)在x-v图象中,图线a表示质点________(填“甲”或“乙”)的运动,质点乙的初速度v0=________m/s;
(2)求质点甲、乙的加速度大小a1、a2。
【答案】
(1)甲,6
(2)a1=2 m/s2,a2=1 m/s2
【解析】
(1)已知甲的初速度为零,由图知图线a表示质点甲的运动。
由b图线:x=0时,v=6 m/s,则乙的初速度v0=6 m/s。
(2)设质点乙、甲先后通过x=6 m处的速度均为v,
对质点甲:v2=2a1x①
对质点乙:v2-v02=-2a2x②
联立①②解得a1+a2=3 m/s2③
当质点甲的速度v1=8 m/s、质点乙的速度v2=2 m/s时,两质点通过相同的位移,设为x′。
对质点甲:vt2=2a1x′④
对质点乙:v22-v02=-2a2x′⑤
联立④⑤解得a1=2a2⑥
联立③⑥解得a1=2 m/s2,a2=1 m/s2。
75.交通路口是交通事故的多发地,驾驶员到交通路口时应格外小心。现有甲、乙汽车正沿同一平直马路同向匀速行驶,甲车在前,乙车在后,它们行驶的速度均为v0=9 m/s。当两车快要到一十字路口时,甲车司机看到绿灯已转换成黄灯,立即紧急刹车,乙车司机为了避免与甲车相撞也紧急刹车。已知甲车紧急刹车的加速度大小a1=5 m/s2,乙车紧急刹车的加速度大小a2=4.5 m/s2,乙车司机的反应时间Δt=0.5 s(即乙车司机看到甲车刹车后0.5 s才开始刹车),则:
(1)若甲车司机看到黄灯时车头距离警戒线9 m,他采取上述措施能否避免闯红灯?
(2)为保证两车在紧急刹车过程中不相撞,甲、乙两车在行驶过程中应保持多大距离?
【答案】
(1)能
(2)5.4 m
【解析】
(1)甲车刹车时,有:
-2a1x=0-v
解得x=8.1 m<9 m
故甲车司机能避免闯红灯。
(2)由于a1>a2,故甲车停止后乙车继续靠近甲车
对乙车,反应时间内x1=v0Δt=4.5 m
刹车后,有:-2a2x2=0-v02
解得x2=9 m
两车恰好相遇时,有:Δx=x1+x2-x=5.4 m
故应保持的距离:Δx=5.4 m。
76.如图所示的xt图象和vt图象中,给出四条曲线1、2、3、4代表四个不同物体的运动情况,关于它们的物理意义,下列描述正确的是( )

(A)图线1表示物体做曲线运动
(B)xt图象中t1时刻v1>v2
(C)vt图象中0至t3时间内3和4的平均速度大小相等
(D)两图象中,在t2、t4时刻2、4开始反向运动
【答案】
B
【解析】
图线1表示的是变速直线运动,A错。xt图线的斜率表示速度,B正确。vt图线和t轴围成的面积表示位移的大小,可得0至t3时间内\(\bar v\)3<\(\bar v\)4,C错。t2时刻1物体开始折返,t4时刻4物体开始做减速运动,但没有折返,故D错。
77.
水平路面上有甲、乙两辆小车,它们从同一地点沿着同一方向做匀变速直线运动。在如图所示的图线中仅仅画出了两辆小车运动的前1.00 s的情况,则下列说法正确的是( )
(A)甲车的加速度大小为20 m/s2
(B)1.00 s时刻两车相距最近
(C)相遇前两车在1.00 s时相距最远
(D)两车相遇时甲车的速度为零
【答案】
CD
78.
一个固定在水平面上的光滑物块,其左侧面是斜面AB,右侧面是曲面AC。已知AB和AC的长度相同,两个小球p、q同时从A点分别沿AB和AC由静止开始下滑,比较它们到达水平面所用的时间( )
(A)p小球先到 (B)q小球先到
(C)两小球同时到 (D)无法确定
【答案】
B
【解析】
一个固定在水平面上的光滑物块,其左侧面是斜面AB,右侧面是曲面AC。已知AB和AC的长度相同,两个小球p、q同时从A点分别沿AB和AC由静止开始下滑,比较它们到达水平面所用的时间( )
(A)p小球先到 (B)q小球先到
(C)两小球同时到 (D)无法确定
79.
如图所示,质量相同的木块A、B用轻质弹簧连接。静止在光滑的水平面上,此时弹簧处于自然状态。现用水平恒力F推A。则从力F开始作用到弹簧第一次被压缩到最短的过程中( )
(A)弹簧压缩到最短时,两木块的速度相同
(B)弹簧压缩到最短时,两木块的加速度相同
(C)两木块速度相同时,加速度aA<aB
(D)两木块加速度相同时,速度vA<vB
【答案】
AC
【解析】
如图所示,质量相同的木块A、B用轻质弹簧连接。静止在光滑的水平面上,此时弹簧处于自然状态。现用水平恒力F推A。则从力F开始作用到弹簧第一次被压缩到最短的过程中( )
(A)弹簧压缩到最短时,两木块的速度相同
(B)弹簧压缩到最短时,两木块的加速度相同
(C)两木块速度相同时,加速度aA<aB
(D)两木块加速度相同时,速度vA<vB
80.某同学利用打点计时器测量小车做匀变速直线运动的加速度。
(1)电磁打点计时器是一种使用________(选填“交流”或“直流”)电源的计时仪器,它的工作电压是4~6 V,当电源的频率为50 Hz时,它每隔________s打一次点。
(2)使用打点计时器时,接通电源与让纸带随小车开始运动这两个操作过程的操作顺序应该是( )
(A)先接通电源,后释放纸带
(B)先释放纸带,后接通电源
(C)释放纸带的同时接通电源
(D)哪个先,哪个后都可以
(3)实验中该同学从打出的若干纸带中选取一条纸带,如图所示,纸带上按时间顺序取A、B、C、D四个计数点,每两个点之间还有四个点未画出,用尺子测得相邻各点间的距离为x1=3.62 cm,x2=4.75 cm,x3=5.88 cm。

根据纸带数据可以判断小车在做匀加速直线运动,理由是:___________________(请用文字描述);在计数点C所代表的时刻,纸带运动的瞬时速度是________m/s,小车的加速度是________m/s2(以上两空小数点后保留两位数字)。
【答案】
(1)交流,0.02
(2)A
(3)相邻相等时间内的位移差相等,0.53,1.13
81.某同学用如下图甲所示的实验装置研究匀变速直线运动。

实验步骤如下:
(A)安装好实验器材;
(B)让小车拖着纸带运动,打点计时器在纸带上打下一系列小点,重复几次。选出一条点迹比较清晰的纸带,从便于测量的点开始,每五个点取一个计数点,如图乙中a、b、c、d等点;
(C)测出x1、x2、x3、…
结合上述实验步骤,请你继续完成下列任务:
(1)实验中,除打点计时器(含纸带、复写纸),小车,一端附有滑轮的长木板,细绳,钩码,导线及开关外,在下列的仪器和器材中,必须使用的有________。(填选项代号)
A.电压合适的50 Hz交流电源 B.电压可调的直流电源 C.秒表 D.刻度尺 E.天平 F.重锤 G.弹簧秤 H.滑动变阻器
(2)如果小车做匀加速运动,所得纸带如图乙所示,则x1、x2、x3的关系是________,已知打点计时器打点的时间间隔是t,则打c点时小车的速度大小是________。
【答案】
(1)AD
(2)x3-x2=x2-x1,\(\frac{{{x_2} + {x_3}}}{{10t}}\)
82.某同学利用打点计时器测量福州的重力加速度,某次实验得到的一段纸带如图所示,O、A、B、C、D为相邻的五个点,测得OA=5.5 mm、OB=14.9 mm、OC=28.3 mm、OD=45.2 mm,打下相邻两个点间的时间间隔为0.02 s。
(1)用逐差法算出福州的重力加速度g=________m/s2。(结果保留三位有效数字)
(2)通过查阅资料发现福州的重力加速度标准值为9.79 m/s2,比较(1)的结果发现两者并不相等,除了读数误差外,你认为产生误差的其他主要原因可能是____________________。(只要求写出一种原因)
【答案】
(1)9.63
(2)纸带与限位孔之间存在较大阻力。
83.
某同学获得一竖直上抛小球的频闪照片图,已知频闪仪每隔0.05 s闪光一次,图中所标数据为实际距离。(当地重力加速度取9.8 m/s2,小球质量m=0.2 kg,结果保留三位有效数字)
(1)由频闪照片上的数据计算t4时刻小球的速度v4=________m/s。
(2)小球上升的加速度大小约为a=________m/s2。
(3)对(2)的数据进行分析,可得到的结论是_______________________。
【答案】
(1)3.98
(2)10.0
(3)小球上升过程中受到空气阻力的作用
84.
由于当年实验条件的限制,伽利略无法直接对落体运动进行实验研究,而今天即使在中学实验室里,我们也可以通过实验来验证落体运动的规律。如图是某次实验中获得的质量为m的小球下落时的频闪照片,频闪间隔是\(\frac{1}{{30}}\) s。根据此照片计算(结果保留三位有效数字 )
(1)小球在4.90 cm位置处的速度大小为________m/s;
(2)小球下落的加速度大小为________m/s2;
(3)小球在13.60 cm位置处的速度大小为________m/s。
【答案】
(1)0.984
(2)9.77
(3)1.64(或1.63)
85.光电计时器也是一种研究物体运动情况的常用计时仪器,其结构如图甲所示,a、b分别是光电门的激光发射和接收装置,当有物体从a、b间通过时,光电计时器就可以精确地把物体从开始挡光到挡光结束的时间记录下来。现利用图乙所示的装置测量滑块和长木板间的动摩擦因数,图中MN是水平桌面,Q是长木板与桌面的接触点,1和2是固定在长木板适当位置的两个光电门,与之连接的两个光电计时器没有画出,长木板顶端P点悬有一铅锤。实验时,让滑块从长木板的顶端滑下,光电门1、2各自连接的计时器显示的挡光时间分别为1.0×10-2 s和4.0×10-3 s。用精度为0.05 mm的游标卡尺测量滑块的宽度d,其示数如图丙所示。


(1)滑块的宽度d=________cm。
(2)滑块通过光电门1时的速度v1=________m/s,滑块通过光电门2时的速度v2=________m/s。(结果保留两位有效数字)
(3)由此测得的瞬时速度v1和v2只是一个近似值,它们实质上是通过光电门1和2时的________,要使瞬时速度的测量值更接近于真实值,可将________的宽度减小一些。
【答案】
(1)1.010
(2)1.0,2.5
(3)平均速度,滑块
86.在做“研究匀变速直线运动”的实验时,某同学得到一条用电火花计时器打下的纸带如下图所示,并在其上取了A、B、C、D、E、F、G 7个计数点,每相邻两个计数点间还有4个点图中没有画出,电火花计时器接220 V、50 Hz交流电源。

(1)设电火花计时器的周期为T,计算F点的瞬时速度vF的公式为vF=________;
(2)他经过测量并计算得到电火花计时器在打B、C、D、E、F各点时物体的瞬时速度如下表。以A点对应的时刻为t=0,试在下图所示坐标系中合理地选择标度,作出v-t图象,并利用该图象求出物体的加速度a=________m/s2;
|
对应点 |
B |
C |
D |
E |
F |
|
速度(m/s) |
0.141 |
0.180 |
0.218 |
0.262 |
0.301 |

(3)如果当时电网中交变电流的电压变成210 V,而做实验的同学并不知道,那么加速度的测量值与实际值相比________。(填“偏大”“偏小”或“不变”)
【答案】
在做“研究匀变速直线运动”的实验时,某同学得到一条用电火花计时器打下的纸带如下图所示,并在其上取了A、B、C、D、E、F、G 7个计数点,每相邻两个计数点间还有4个点图中没有画出,电火花计时器接220 V、50 Hz交流电源。

(1)设电火花计时器的周期为T,计算F点的瞬时速度vF的公式为vF=________;
(2)他经过测量并计算得到电火花计时器在打B、C、D、E、F各点时物体的瞬时速度如下表。以A点对应的时刻为t=0,试在下图所示坐标系中合理地选择标度,作出v-t图象,并利用该图象求出物体的加速度a=________m/s2;
|
对应点 |
B |
C |
D |
E |
F |
|
速度(m/s) |
0.141 |
0.180 |
0.218 |
0.262 |
0.301 |

(3)如果当时电网中交变电流的电压变成210 V,而做实验的同学并不知道,那么加速度的测量值与实际值相比________。(填“偏大”“偏小”或“不变”)
87.一个小球从斜面顶端无初速下滑,接着又在水平面上做匀减速运动,直到停止,它共运动了10 s,斜面长4 m,在水平面上运动的距离为6 m,求:
(1)小球在运动过程中的最大速度;
(2)小球在斜面和水平面上运动的加速度大小。
【答案】
(1)2 m/s
(2)0.5 m/s2,0.33 m/s2
88.
如图所示,一物块从一光滑且足够长的固定斜面顶端O点无初速释放后,先后通过P、Q、N三点,已知物块从P点运动到Q点与从Q点运动到N点所用的时间相等,且PQ长度为3 m,QN长度为4 m,则由上述数据可以求出OP的长度为( )
(A)2 m (B)\(\frac{9}{8}\) m
(C)\(\frac{25}{8}\) m (D)3 m
【答案】
C
89.两辆完全相同的汽车,沿水平道路一前一后匀速行驶,速度均为v0。若前车突然以恒定的加速度a刹车,在它刚停住时,后车以加速度2a开始刹车。已知前车在刹车过程中所行驶的路程为x,若要保证两辆车在上述情况中不发生碰撞,则两车在匀速行驶时保持的距离至少应为( )
(A)x (B)\(\frac{3}{2}\)x (C)2x (D)\(\frac{5}{2}\)x
【答案】
B
【解析】
两辆完全相同的汽车,沿水平道路一前一后匀速行驶,速度均为v0。若前车突然以恒定的加速度a刹车,在它刚停住时,后车以加速度2a开始刹车。已知前车在刹车过程中所行驶的路程为x,若要保证两辆车在上述情况中不发生碰撞,则两车在匀速行驶时保持的距离至少应为( )
(A)x (B)\(\frac{3}{2}\)x (C)2x (D)\(\frac{5}{2}\)x
90.一列火车从静止开始做匀加速直线运动,一个人站在第一节车厢前端的站台上,观测到第一节车厢通过他历时2 s,全部列车车厢通过他历时6 s,则此列车的车厢数目为多少?
【答案】
9
91.
从斜面上某一位置,每隔0.1 s释放一个小球,在连续释放几颗小球后,对在斜面上滚动的小球拍下照片,如右图所示,测得xAB=15 cm,xBC=20 cm,求:
(1)小球的加速度;
(2)拍摄时B球的速度;
(3)拍摄时xCD的大小;
(4)A球上方滚动的小球还有几颗。
【答案】
(1)5 m/s2
(2)1.75 m/s
(3)0.25 m
(4)2颗
92.某乘客用手表估测火车的加速度,他先观测3分钟,发现火车前进540 m,隔3分钟后又观测1分钟,发现火车前进了360 m,若火车在这7分钟内做匀加速运动,则这列火车的加速度大小为( )
(A)0.03 m/s2 (B)0.01 m/s2 (C)0.5 m/s2 (D)0.6 m/s2
【答案】
B
93.一辆汽车从车站以初速度为零匀加速直线开出,开出一段时间之后,司机发现一乘客未上车,便紧急刹车做匀减速运动。从启动到停止一共经历t=10 s,前进了15 m,在此过程中,汽车的最大速度为( )
(A)1.5 m/s (B)3 m/s (C)4 m/s (D)无法确定
【答案】
B
94.一辆公共汽车进站后开始刹车,做匀减速直线运动。开始刹车后的第1 s内和第2 s内位移大小依次为9 m和7 m。则刹车后6 s内的位移是( )
(A)20 m (B)24 m (C)25 m (D)75 m
【答案】
C
95.从车站出发的每辆车都先以加速度a做匀加速直线运动,加速到速度为v时开始做匀速直线运动,由于发车的时间间隔相同,相邻的做匀速直线运动的两车间距均为x,则相邻两车发车的时间间隔为多少 ?
【答案】
\(\frac{x}{v}\)
【解析】
从车站出发的每辆车都先以加速度a做匀加速直线运动,加速到速度为v时开始做匀速直线运动,由于发车的时间间隔相同,相邻的做匀速直线运动的两车间距均为x,则相邻两车发车的时间间隔为多少 ?
2006 - 2026,推荐分辨率 1024*768 以上,推荐浏览器 Chrome、Edge 等现代浏览器,截止 2021 年 12 月 5 日的访问次数:1872 万 9823。 站长邮箱
