1.小灯泡标有“6 V 3 W”的字样,这里“6 V”表示它的_________,“3 W”表示它的_________,它正常工作时的电流值是_________A,每秒通过导体横截面的电子数为_________个,若工作20 min,则电流做的功为_________J,折合_________kW·h。
【答案】
额定电压,额定功率,0.5,3.125×1018,3600,0.001
2.灯泡标有“36 V 100 W”的字样,它工作2h消耗电能为0.15 kW·h,它的额定功率是_________W,它的实际功率是_________W。
【答案】
100,75
3.某电热器标有“220 V 100 W”的字样,则它的电阻为_________Ω,正常工作3 min产生的热量为_________J。假设电阻不变,把它接到110 V的电路上,其实际功率为_________W。
【答案】
484,1.8×104,25
4.甲灯标有“220 V 40 W”的字样,乙灯标有“220 V 100 W”的字样,它们中电阻较大的是_______灯,甲灯与乙灯的电阻值之比为_________。
【答案】
甲,5∶2
5.某导线的电阻是16 Ω,将它对折起来后使用,它的电阻变为_________Ω,如果将它均匀地拉长到横截面半径变为原来的一半,它的电阻变为_________Ω。
【答案】
4,256
6.
如图所示为两个电阻R1和R2中电压与电流的关系图,则可知R1和R2阻值的比值为_________。
【答案】
1∶16
7.某电阻两端加上5 V的电压时,通过的电流为0.2 A,它的电阻为_________Ω。若在该电阻两端加上10 V的电压,它的电阻为_________Ω,流过它的电流为_________A。
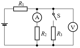
【答案】
25,25,0.4
8.一段导线的电阻为48 Ω,把它截成相等的n段后,再将它们并联相在一起使用,电阻变为3 Ω,那么该导线被截成的段数n为_________。
【答案】
4
9.将一电阻丝接在某电压下工作时其消耗的功率为P,将它对折后接在原来的电压下工作,它的功率为P′,则P∶P′=_________。
【答案】
1∶4
10.关于电功和电功率,下列说法中正确的是( )。
(A)电流做功越多的用电器,单位时间内消耗的电能就越多
(B)电功率越大的用电器消耗的电能一定越多
(C)额定功率越大的用电器中电流做功一定较快
(D)电能消耗越快的用电器的电功率越大
【答案】
D
11.关于用电器的额定功率和实际功率,下列说法中正确的是( )。
(A)额定功率较大的用电器,其实际功率一定较大
(B)用电器不通电时其额定功率为零
(C)用电器的额定功率会随所加电压的改变而改变
(D)用电器的实际功率会随所加电压的改变而改变
【答案】
D
12.导线电阻与下列各物理量中无关的是( )。
(A)导线两端的电压 (B)导线的长度
(C)导线的温度 (D)导线的横截面积
【答案】
A
13.对于关系式R=\(\frac{U}{I}\),下列说法中正确的是( )。
(A)导体的电阻跟导体两端的电压成正比,跟通过导体的电流成反比
(B)通以不同电流的两个导体,电流较大的导体电阻较小
(C)导体中通过一定的电流所需电压越高,该导体的电阻也越大
(D)导体两端加一定电压时通过的电流越大,该导体的电阻也越大
【答案】
C
14.导线的电阻率为ρ,电阻为R,将它截成等长的三段,再扭在一起使用,则其电阻率和电阻分别为( )。
(A)ρ、\(\frac{R}{9}\) (B)\(\frac{\rho }{9}\)、\(\frac{R}{9}\) (C)ρ、9R (D)9ρ、9R
【答案】
A
15.某同学家里有“220 V 60 W”的电灯九盏,1400 W的空调机一台,700 W的电饭煲一只。
(1)若这些用电器一起工作3 h,消耗电能多少?
(2)总熔丝的额定电流至少多大?
【答案】
7.92 kW·h,约12 A
16.某同学家里的电能表标有“220 V 10 A”的字样,家里有1400 W的空调机一台,900 W的电饭煲一只,600 W的电熨斗一只,100 W的电灯若干盏,试计算一下该同学家同时最多能使用哪些电器组合?
【答案】
略
17.某用电器标有“12 V 0.5 A”的字样,它的额定功率为_________W,它工作30 min,电流做功为_________J,折合为_________kW·h。
【答案】
6,1.08×104,0.003
18.甲灯正常工作2 h消耗电能0.12 kW·h,乙灯标有“220 V 0.3 A”的字样,则乙灯正常工作时与甲灯正常工作时相比较,较亮的是_______灯。
【答案】
乙
19.灯泡标有“36 V 100 W”的字样,它工作30 min消耗的电能为0.055 kW·h,它的额定功率是_________W,它在_________(选填“正常”或“不正常")工作。
【答案】
100,不正常
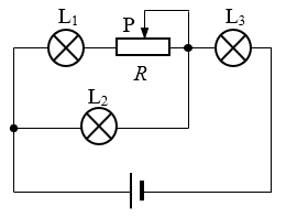
20.
如图所示实验电路中,当滑动变阻器的滑片P稍向右移动一些时,电压表的示数将_________(选填“变大”、“不变”或“变小”,下同),电流表示数将_________,灯泡的额定功率将_________,灯泡的实际功率将_________。
【答案】
变大,变大,不变,变大
21.学校里每个教室装有40 W的日光灯8支,共有30个教室,它们的总功率为_________W。若每天少开灯1 h,一个月可节省电能_________J(每月按20天上课计算),总电功率变为_________W。
【答案】
9600,6.91×108,9600
22.某电阻标有“10 kΩ 1 W”的字样,该电阻允许通过的最大电流为_________A,它两端所能加的最大电压为_________V。
【答案】
0.01,100
23.某电路,若保持电流不变,电阻变为原来的2倍,其消耗的电功率变为原来的_________倍。若保持电压不变,电阻变为原来的2倍,其消耗的电功率变为原来的_________倍。
【答案】
2,1/2
24.在电阻值为R的电阻丝中通以电流I,对一杯水加热,若不考虑加热时热量的损失,经过时间t后煮沸。若在一阻值为的电阻丝中通以电流2I,煮沸相同一杯水所需的时间为_________t。
【答案】
1/2
25.
如图所示,一块长方体的均匀导电材料,其长、宽、高的比是3∶2∶1,那么分别沿其长的方向通电、沿其宽的方向通电和沿其高的方向通电时的电阻值之比为_________。
【答案】
9∶4∶1
26.
如果考虑电阻随温度的变化,图中的三根图线中,_________较准确地表示了金属导体中电流与其两端所加电压间的关系。
【答案】
c
27.对于某个接入电路中的用电器来说,下列说法中正确的是( )
(A)通电时间越长,它的电功率越大
(B)用电器两端所加电压越大,其额定功率也越大
(C)用电器内通过的电流越大,其额定功率也越大
(D)工作时间相同,额定功率较大的用电器消耗的电能不一定较大
【答案】
D
28.甲灯标有“220 V 40 W”的字样,乙灯标有“110 V 40 W”的字样,它们都正常工作时,下列说法中正确的是( )。
(A)甲灯较亮 (B)乙灯较亮
(C)一样亮 (D)额定电压不同无法比较
【答案】
C
29.额定功率为P的白炽灯接在电路中,由于电压不足,其实际功率只有0.64P,此时实际电压比额定电压降低了( )。
(A)6% (B)8.5% (C)20% (D)36%
【答案】
C
30.粗细均匀、材料相同的A、B两根导体,质量之比为mA∶mB=2∶1,长度之比为LA∶LB=1∶2,则它们的电阻之比为( )。
(A)2∶1 (B)1∶2 (C)1∶4 (D)1∶8
【答案】
D
31.一根阻值为R的均匀电阻丝,把它均匀拉长,使截面半径变为原来的\(\frac{1}{{10}}\),则其电阻变为( )
(A)10R (B)100R (C)1000R (D)10000R
【答案】
D
32.电能表上标有“3000 r/(kW·h)”的字样,一同学为测定某用电器的电功率,他将除该用电器之外的其他用电器都关掉,然后观察电能表中的转盘,发现转盘在1 min内转了5转,试计算该用电器的功率。
【答案】
100 W
33.某学校有10个办公室和30个教室,每个办公室有1400 W的空调机1台,40 W的日光灯6支,每个教室有40 W的日光灯10支,60 W的电风扇4台,试问:
(1)该学校的总熔丝的额定电流至少应为多少?
(2)若夏天平均每天这些电器都开8小时,则平均每天消耗电能多少?
【答案】
162 A,284.8 kW·h
34.已知两电阻的阻值之比为R1∶R2=2∶1,将两电阻R1和R2串联后接入电路,则R1与R2消耗的电功率之比为_________,R1与R2两端的电压之比为_________。
【答案】
2∶1,2∶1
35.已知两电阻的阻值分别为R1=2Ω,R2=3Ω,将电阻R1和R2串联后接入电路,则通过R1和R2的电流之比为_________,R1和R2上的电压之比为_________,R1两端电压和总电压的比为_________,R2消耗的功率和两电阻消耗的总功率之比为_________。
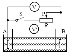
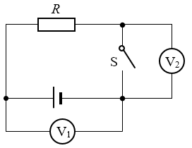
【答案】
1∶1,2∶3,2∶5,3∶5
36.两个电阻R1和R2串联在电路上,它们的总电阻为R=8 Ω,其中R1两端的电压为U1=1.5 V,流过R2的电流为I2=0.3 A,则电路的总电压为_________V,电阻R2两端的电压为_________V。
【答案】
2.4,0.9
37.
如图所示电路中,电路总电压为 U = 20 V,固定电阻 R0 的阻值为 2000 Ω,滑动变阻器 R 的滑片 P 由 a 向 b 移动时,电压表示数的变化范围是 8 ~ 20 V,则滑动变阻器 R 的阻值变化范围是_________Ω 到_________Ω。
【答案】
0,3000
38.电阻R1和R2串联后接入电路,电路总电压为U=2 V,消耗的总电功率为P=1 W,电阻R1=1 Ω,则电阻R2=_________Ω。
【答案】
3
39.甲灯标有“220 V 40 W”的字样,乙灯标有“220 V 100 W”的字样。若将两灯串联,则较亮的灯是_________,它们实际消耗的电功率之比为_________。
【答案】
甲,5∶2
40.甲灯标有“110 V 100 W”的字样,乙灯标有“110 V 200 W”的字样,若将两灯串联后接在电压为220 V的电路中,可能会出现的情况是( )。
(A)两灯均正常发光 (B)两灯都不亮
(C)甲灯亮、乙灯不亮 (D)两灯都比原来暗
【答案】
B
41.某用电器上标有“10 V 12 W”的字样,现将它接到电压为15 V的电源上,为使它能正常工作,必须串联一个分压电阻,该分压电阻消耗的电功率为( )。
(A)6 W (B)9 W (C)12 W (D)18 W
【答案】
A
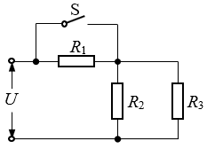
42.
用如图所示电路来控制电灯的亮暗,若要求变阻器的滑片P向右移动时电灯变亮,则变阻器接入电路的正确方式应是( )。
(A)A接M、B接N (B)A接M、D接N
(C)B接M、C接N (D)C接M、D接N
【答案】
B
43.某用电器额定功率是200 W,把它接入电压是220 V的电路中,要串联一个60 Ω的电阻才能正常工作,则这个用电器的额定电压为多大?
【答案】
100 V或120 V
44.R1、R2和R3三个电阻串联后接到电压为245 V的电路上,通过的电流为5 A,其中R1=2R2,且R3消耗的电功率为100 W。求:
(1)电阻R1、R2和R3的值。
(2)R1、R2消耗的电功率P1和P2。
【答案】
(1)30 Ω,15 Ω,4 Ω
(2)750 W,375 W
45.
如图所示电路中,电源电压为 9 V,灯泡L的电阻为 12 Ω,闭合电键后,若要使滑动变阻器滑片 P 无论如何移动,电压表示数变化范围总在 3~6 V 之间,求 R1 的阻值和滑动变阻器的最大电阻。
【答案】
6 Ω,18 Ω
46.有额定电压相同的A、B两盏灯,它们的额定功率关系是PA=3PB,现将它们串联后接入电路,两灯均能发光,此时两灯的电压之比为_________,两灯消耗的实际功率之比为_________。
【答案】
1∶3,1∶3
47.
四只电阻连接成如图所示电路,已知R2=R4,电压表V1的示数为3 V,电压表V2的示数为7 V,则A、B间的总电压为_________V。
【答案】
10
48.阻值为30 Ω的电阻与标有“6 V 6 W”字样的小灯泡串联后,接到电压为9 V的电路上,小灯泡消耗的电功率是_________W,电阻消耗的电功率是_________W。
【答案】
0.375,1.875
49.甲灯标有“110 V 100 W”的字样,乙灯标有“110 V 200 W”的字样,则两灯的阻值之比为_________。将两灯串联后接入电路中时甲灯恰能正常发光,此时电路两端的总电压为_________V,乙灯消耗的实际功率为_________W。
【答案】
2∶1,165,50
50.
如果将滑动变阻器接成图所示方式,则闭合电键S后,将变阻器的滑片P由B端向A端移动的过程中,电压表的示数将逐渐_________。
【答案】
减小
51.甲灯标有“220 V 100 W”的字样,乙灯标有“110 V 40 W”的字样,若将两灯串联后接到电路中,则较亮的灯是_________,它们消耗的功率之比为_________。
【答案】
甲,8∶5
52.标有“220 V 40 W”字样的A灯与标有“220 V 60 W”字样的B灯串联后接到电压为220 V的电路上,则A、B两灯的电压之比为( )。
(A)2∶3 (B)3∶2 (C)4∶9 (D)9∶4
【答案】
B
53.甲、乙两电阻器上分别标有“200 Ω 0.5 W”和“300 Ω 0.8 W”的字样,若把它们串联后接到电压为25 V的电路上,则它们的电功率分别为( )。
(A)0.5 W,0.8 W (B)0.5 W,0.75 W
(C)0.8 W,0.5 W (D)0.45 W,0.8 W
【答案】
B
54.
甲、乙两电阻的电流-电压关系如图所示,则把它们串联后的电流-电压关系图线一定在图中的( )。
(A)d区域 (B)b区域
(C)c区域 (D)无法确定
【答案】
C
55.两只白炽灯L1和L2串联后接在电压恒定的电路中,若L1的灯丝断了,经搭丝后再用,仍与L2串联,重新接在原电路中,则此时L1的亮度与灯丝未断前相比( )。
(A)不变 (B)变亮 (C)变暗 (D)条件不足无法判断
【答案】
C?好像应该是D,只有当两灯电阻相同时才能选C。
56.实验室有两个电阻,甲电阻标有“100 Ω 10 W”的字样,乙电阻标有“200 Ω 2 W”的字样,求它们串联后两端允许加上的最大电压。
【答案】
30 V
57.甲灯标有“220 V 40 W”的字样,乙灯标有“220 V 60 W”的字样,把它们串联起来接入电路,求所能加的最大电压及此时两灯的总功率。
【答案】
367 V,66.7 W
58.电炉通电后,电阻丝会热得发红,而跟它相连的铜导线却不那么热,这是为什么?而有时插电炉的插座处也会发热而把插座烧坏,这又是为什么?
【答案】
串联电路的功率与电阻成正比,电炉的电阻远大于铜导线的电阻,所以铜导线不会很热;有时插座和插头间接触不好,接触电阻很大,所以也会很热而烧坏插座。
59.电阻R1和R2并联于A、B间,已知电阻R1=6 Ω,A、B间的总电阻为R=2 Ω,则电阻R2=_______Ω。若在A、B间加上U=12 V的电压,则流过A、B间电路的总电流为_______A。
【答案】
3,6
60.两个电阻的阻值分别为R1=30 Ω和R2=60 Ω,若把它们串联后接在总电压为U=180 V的电路中,它们消耗的实际功率分别为P1=_______W,P2=_______W。若把它们并联后接在总电压为U=180 V的电路中,则它们消耗的实际功率分别为P1′=_______W,P2′=_______W。
【答案】
120,240,1080,540
61.电阻R1和R2并联后接入电路中,已知R1=2R2,则总电流与电阻R2中的电流之比为_______,R1和R2消耗的电功率之比为_______。
【答案】
3∶2,1∶2
62.两个阻值分别为R1、R2的电阻并联后接入电路中,此时干路的总电流为I,则流过R1的电流I1=_______,电阻R2消耗的电功率P2=_______。
【答案】
\(\frac{{I{R_2}}}{{{R_1} + {R_2}}}\),\(\frac{{{I^2}{R_2}R_1^2}}{{{R_1} + {R_2}}}\)
63.甲灯标有“220V 40W”的字样,乙灯标有“220V 100W”的字样,若将两灯并联在220V电压的电路上,则较亮的灯是_______,它们消耗的电功率之比为_______。
【答案】
乙,2∶5
64.甲灯标有“110V 100W”的字样,乙灯标有“110V 25W”的字样,两灯并联接入电路时消耗的电功率之比为_______,串联接入电路时消耗的电功率之比为_______。若两灯串联后接在总电压为110V的电路上,甲灯消耗的实际功率为_______W,乙灯消耗的实际功率为_______W。
【答案】
4∶1,1∶4,4,16
65.电热器阻值为100 Ω,额定电流为0.5 A,干路上的总电流为2.5 A,为使它正常工作,应并联的分流电阻的大小为( )。
(A)500 Ω (B)400 Ω (C)25 Ω (D)20 Ω
【答案】
C
66.电阻R1和R2并联后接入电路,已知R1=3R2,则( )
(A)它们两端的电压之比为1∶3 (B)流过它们的电流之比为1∶3
(C)流过它们的电流之比为3∶1 (D)它们消耗的电功率之比为3∶1
【答案】
B
67.关于并联电路,下列说法中错误的是( )
(A)总电阻阻值必小于每一只电阻的阻值
(B)其中一只电阻的阻值增大时,总电阻阻值必减小
(C)再并联一只电阻时,总电阻阻值必减小
(D)拿掉一只电阻时,总电阻阻值必增大
【答案】
B
68.已知两个不同的电阻R1、R2,若它们串联时的总电阻是并联时的总电阻的k倍,则k的取值范围是( )。
(A)1<k<3 (B)k>4 (C)1≤k≤4 (D)k≥4
【答案】
B
69.实验中,常用可变电阻作为调节电流用,有时用一个不便,需用两个阻值分别为R1和R2的变阻器,一个作粗调(改变电流较大),一个作细调(改变电流较小),这两个变阻器可串联或并联,已知R1>R2,则( )。
(A)串联时R1作粗调 (B)串联时R2作粗调
(C)并联时R1作粗调 (D)并联时R2作粗调
【答案】
AD
70.
节日用的一串串小彩灯中,每个灯的构造都如图所示,除灯丝电阻R1外,在灯丝引线上还绕有金属丝R2,关于它的作用,下列说法中正确的是( )。
(A)正常工作时电流主要流过R1
(B)正常工作时电流主要流过R2
(C)灯丝断后电流只流过R1
(D)灯丝断后电流只流过R2
【答案】
AD
71.将R1、R2、R3三个电阻并联,两端加上电压后,流过R2的电流为1 A,总电流为4.5A,电阻R3上的功率为12 W,若R1=4 Ω,求电阻R2和R3的阻值。
【答案】
6 Ω,3 Ω或8 Ω,5.33 Ω
72.
滑动变阻器总电阻为20 Ω,连接成如图所示电路,试问滑动变阻器的滑片P移到什么位置时,A、B间总电阻最大?电阻的最大值为多少?
【答案】
正中间,5 Ω
73.电阻R1、R2、R3并联后接入电路中,已知电阻R1为0~50 Ω的滑动变阻器,R2=30 Ω,R3=60 Ω,流过R2的电流为\(\frac{4}{3}\)A,R1的电功率为80 W,此时R1的阻值为_______Ω,总电阻的阻值为_______Ω,R3的实际功率为_______W。
【答案】
20,10,26.7
74.电阻R1和R2并联在电压恒定的电路中,当R1稍减小一点时,电路的总电阻将_______,R2的电功率将________,R1的电功率将__________(选填“增大”、“减小”或“不变”)。
【答案】
减小,不变,增大
75.有三个电阻,阻值分别为R1=3 Ω,R2=6 Ω,R3=9 Ω,将它们并联后接入电路中,其总电阻为________Ω,流过它们的电流之比I1∶I2∶I3=_______,它们消耗的实际功率之比P1∶P2∶P3=________。
【答案】
18/11,6∶3∶2,6∶3∶2
76.
长方体导体长、宽、高分别为c、b和a,且c=2b=4a,若沿b方向通电时,其电流随电压变化的关系如图所示,试在图中画出沿a方向通电时和沿c方向通电时电流随电压变化的关系图线。
【答案】
图略
77.两电阻分别标有“5 kΩ 0.5 W”和“15 kΩ 0.24 W”的字样,把它们并联时允许通过的总电流最大为 A,此时它们的总电功率为_______W。
【答案】
0.0133,0.67
78.甲灯标有“220 V 100 W”的字样,乙灯标有“110 V 40 W”的字样。若将两灯并联在110 V电路上,则较亮的灯是_________,它们消耗的电功率之比为________。
【答案】
乙,5∶8
79.在一均匀金属圆环上有A、B、C三个点,已知A、B为一直径的两个端点,弧AC长为弧BC长的2倍,把A、B两点接在电路中,连接导线中电流为6 A,圆环消耗的功率为108 W。如果保持连接导线中的电流不变,把A、C两点接入电路,则圆环消耗的电功率为_______W。
【答案】
96
80.有三个电阻,阻值分别为R1=4 Ω,R2=3 Ω,R3=6 Ω,把它们并联后接入电路中,它们消耗的功率之比为( )。
(A)4∶3∶6 (B)6∶3∶4 (C)3∶4∶2 (D)2∶4∶3
【答案】
C
81.关于并联电路,下列说法中正确的是( )。
(A)如果两支路的电阻相差悬殊,则总电阻的阻值略大于较大的电阻
(B)如果两支路的电阻相差悬殊,则总电阻的阻值略小于较大的电阻
(C)如果两支路的电阻相差悬殊,则总电阻的阻值略大于较小的电阻
(D)如果两支路的电阻相差悬殊,则总电阻的阻值略小于较小的电阻
【答案】
D
82.甲灯标有“200 V 100 W”的字样,乙灯标有“100 V 40 W”的字样,两灯并联后接入电路,它们的最大总功率为( )。
(A)180 W (B)140 W (C)110 W (D)65 W
【答案】
D
83.
电阻R1、R2和R3连接成如图所示电路,已知A、B间电压保持不变,R3=100 Ω,流过电阻R3的电流为2 A,当电键S断开时,电路总功率为600 W;当电键S闭合时,电路总功率为1200 W,求电阻R1和R2的阻值。
【答案】
66.7 Ω,200 Ω
84.灯L1标有“20 V 80 W”的字样,灯L2标有“?30W”,其额定电压值模糊不清,它们并联后接入电路,已知总电流为5 A,灯L2恰正常发光,求灯L1的实际功率。
【答案】
20 W或45 W
85.
有一个半圆形薄板状导体,按图(a)通过两个导电性能很好的电极接到电路中去,其电阻为R,问:如果按图(b)通过两个导电性能很好的电极接到电路中去,其电阻为多大?
【答案】
4R
86.有三只阻值均为6 Ω的电阻,取其中的一只、两只或三只使用,通过不同的连接方式,共可得到_______种不同的阻值。
【答案】
7
87.三只电阻的阻值相等,将R2和R3并联,再与R1串联后接入电路,则通过电阻R1和R2的电流之比I1∶I2=_______,电阻R1和R3消耗的电功率之比P1∶P3=_______。
【答案】
2∶1,4∶1
88.
已知R1=1 Ω,R2=2 Ω,R3=3 Ω,连接成如图所示电路,则通过电阻R1、R2、R3的电流关系是I1∶I2=_______,I1∶I3=_______,电阻R1、R2、R3两端的电压关系是U1∶U2=_______,U1∶U3=_______,电阻R1和R2消耗的电功率之比P1∶P2=_______。
【答案】
5∶3,5∶2,5∶6,5∶6,25∶18
89.
已知R1=1 Ω,R2=2 Ω,R3=3 Ω,连接成如图所示电路,则通过电阻R1、R2的电流之比是I1∶I2=_______;R1和R2两端的电压之比是U1∶U2=_______;R1和R3消耗的电功率之比P1∶P3=_______。
【答案】
5∶1,5∶2,25∶3
90.阻值为R的电阻与阻值为r的电阻并联后再与阻值为r的电阻串联,总电阻仍为R,则r=_______R。
【答案】
\(\frac{{\sqrt 5 {\rm{ - }}1}}{2}\)
91.
如图所示电路中,总电压U恒为18 V,R1=4 Ω,R2=3 Ω,R3=6 Ω,当开关S断开时,流过R1的电流为_______A,流过R2的电流为_______A。当开关S闭合时,流过R1的电流为_______A,流过R2的电流为_______A。
【答案】
3,2,0,6
92.
如图所示电路中,R1=6 Ω,R2=3 Ω,当滑动变阻器的滑片P移到a端时,M、N间的总电阻为_______Ω,移到b端时,M、N间的总电阻为_______Ω。若M、N间接电压恒为12 V的电源,则R2上的电压最小值为_______V,最大值为_______V。
【答案】
6,2,0,12
93.
如图所示电路中,U=30 V,R1=2R2,变阻器R1的滑片P位于其中点,则R2两端的电压为( )。
(A)20 V (B)15 V (C)10 V (D)5 V
【答案】
C
94.把三个阻值均为12 Ω的电阻,经过各种组合不可能得到下列阻值中的( )。
(A)8 Ω (B)18 Ω (C)26 Ω (D)36 Ω
【答案】
C
95.
甲灯标有“110 V 40 W”的字样,乙灯标有“110 V 60 W”的字样,为使两灯均正常发光,某人设计了如图所示电路,R为变阻器,可适当调节其阻值,则( )
(A)L1必是甲灯
(B)L1必是乙灯
(C)L1可以是甲灯也可以是乙灯
(D)L1不论是甲灯还是乙灯都无法正常发光
【答案】
B
96.
如图所示电路中,A、B间电压恒定,若R1=R2=R3,则开关S断开与闭合两种情况下,R1消耗的电功率之比为( )。
(A)4∶9 (B)9∶4
(C)16∶9 (D)9∶16
【答案】
D
97.电阻R1=R2=600 Ω,串联后接到电压恒为U=120 V的电路上,电压表内阻为1200 Ω。若把电压表并联在R1两端,求电压表的示数。
【答案】
48 V
98.电阻R1=3 Ω,R2=12 Ω,串联后接在电压为6 V的电路上,为使R1、R2两端电压相等,应如何接入变阻器?阻值多大?为使R1、R2消耗的功率相等,又应如何接入变阻器?阻值多大?
【答案】
与R2并联,4 Ω,与R2并联,12 Ω
99.
如图所示电路中,若R1=R3=6 Ω,R2=12 Ω,接在电压恒定的电路上,当开关S断开时,R2消耗的电功率为3 W,求:
(1)电路电压。
(2)S闭合时,R2消耗的电功率。
【答案】
(1)9 V
(2)1.08 W
100.
已知三个灯泡的阻值R1=2R2=4R3,若连接成如图(a)所示电路,则L1、L2两端电压之比为U1∶U2=_______,流过L1、L2的电流之比为I1∶I2=_______,三个灯泡的功率之比为P1∶P2∶P3=_______。若连接成图(b)所示电路,则U1∶U2∶U3=_______,I1∶I2∶I3=_______,P1∶P2∶P3=_______。
【答案】
6∶1,3∶1,18∶1∶2,2∶1∶3,1∶1∶6,2∶1∶18
101.
如图所示电路,电阻R1=2 Ω,R2=5 Ω,变阻器R=7 Ω,当滑片P滑到AP部分电阻为_______Ω时,M、N间总电阻最大;滑到AP部分电阻为_______Ω时,M、N间总电阻最小。
【答案】
5,0
102.阻值为r1和r2的两个电阻并联后再串联一个未知电阻Rx,其总电阻仍等于r1,则Rx=_______。
【答案】
\(\frac{{r_1^2}}{{{r_1} + {r_2}}}\)
103.每根导线电阻为R、额定电压为U、额定功率为P,现将每三根导线串成一串,再将三串并联起来,其总电阻为_______,总额定电压为_______,总额定功率为_______。
【答案】
R,3U,9P
104.
如图所示电路,已知A、B间总电阻与B、C间总电阻及C、A间总电阻都是8 Ω,现由于其中某一个电阻发生变化,测得A、B间及A、C间总电阻均变为7.2 Ω,而B、C间总电阻变为4.8 Ω,则变化的电阻是_______,阻值变为_______Ω。
【答案】
R2,6
105.
如图所示电路,四个电阻阻值均为30 Ω,电压U为9 V,当开关S断开时,电流表示数为_______A,当开关S闭合时,电流表示数为_______A。
【答案】
0.18,0.5
105.
如图所示电路,R1=3 Ω,R3=6 Ω,R2=R4=12 Ω,开关S断开时,R1、R2两端电压之比为U1∶U2=_______,通过R1、R3的电流之比为I1∶I3=_______;当开关S闭合时,R1、R2两端电压之比为U1′∶U2′=_______,通过R1、R3的电流之比为I1′∶I3′=_______。
【答案】
1∶4,6∶5,1∶3,2∶1
105.灯L1和L2均标有“200 V 100 W”的字样,灯L3标有“100 V 100 W”的字样,现将L2和L3并联后再与L1串联接入电路中,三灯实际消耗功率之比P1∶P2∶P3为( )。
(A)2∶2∶1 (B)4∶2∶1 (C)4∶1∶25 (D)25∶1∶4
【答案】
D
108.现有标有“220V 40W”字样的灯若干,将其中几个任意组合,使它们恰能替代一个“220V 60W”的灯,所需灯的个数至少为( )。
(A)2个 (B)3个 (C)6个 (D)12个
【答案】
B
109.
两灯分别标有“110 V 40 W”和“110 V 60 W”的字样,如图所示,连接后接到电压为220 V的电路中,两灯均正常发光,则电阻R消耗的功率为( )。
(A)20 W (B)40 W (C)60 W (D)100 W
【答案】
A
110.
如图所示电路中,电源电压为6 V,当开关S闭合后,灯泡L1、L2都不亮,用电压表测得各部分电压是:Uab=6 V,Uad=0 V,Ucd=0 V,Ubc=6 V,可能的原因是( )。
(A)灯L1、L2的灯丝都断了 (B)灯L1灯丝断了
(C)灯L2灯丝断了 (D)变阻器R断路了
【答案】
D
111.电阻R1和R2并联后再与R3串联,接到总电压为18 V的电路上,已知R2=3 Ω,流过R1的电流为1 A,R3消耗的电功率为36 W,求R1和R3的值。
【答案】
1.6 Ω,4 Ω或9 Ω,2.25 Ω
112.
如图所示电路,总电压恒为12 V,滑动变阻器最大电阻30 Ω,灯L标有“6 V 1.8 W”的字样,试求为使灯正常发光,变阻器Pa部分电阻应多大?此时变阻器消耗的电功率为多大?
【答案】
10 Ω,5.4 W
113.
如图所示电路中,R1=R2,当变阻器R接入电路的电阻由原来的10 Ω再增大10 Ω时,R1上消耗的电功率减小到原来的\(\frac{4}{9}\),求R1的值。
【答案】
20 Ω
114.
如图所示电路中,电压U恒为12 V,变阻器总电阻R2与电阻R1均为12 Ω,当变阻器滑片P移到a端时,电流表示数为_______A;当变阻器滑片P移到b端时,电流表示数为_______A;当变阻器滑片P移到ab中点时,电流表示数为_______A。
【答案】
1,1,0.8
115.
如图所示电路中,五只电阻阻值均为6 Ω,A、B间电压U为12 V,则电压表示数为_______V。若将电压表换成电流表,则电流表示数为_______A。
【答案】
4,0.25
116.
如图所示电路中,已知R1=4 Ω,R2=6 Ω,R3=3 Ω,电压U保持不变,当开关S断开时,电压表示数为1.8 V,则S闭合时流过R3的电流为_______A。
【答案】
1/3
117.
如图所示电路中,已知R1=5 Ω,R2=10 Ω,UAB=150 V,闭合开关S与断开开关S时总电流相差5 A,则R3=_______Ω。
【答案】
10
118.
如图所示电路中,已知R1=200 Ω,R2=400 Ω,R3=800 Ω,R4=600 Ω,则可知图中箭头标出的两个电流之比为I1∶I2=_______。
【答案】
8∶1
119.R1、R2是两个阻值很大的定值电阻,串联后接入电压恒定的电路中,用一只普通的电压表分别测量R1、R2两端的电压,示数依次为3.00V、4.00V,则( )。
(A)R1∶R2=3∶4 (B)总电压为7.00 V
(C)总电压大于7.00 V (D)总电压小于7.00 V
【答案】
AC
120.
如图所示电路中,A、B间电压为2 V,三只电阻阻值均为1 Ω,电表内阻对电路的影响不计,则电压表和电流表的示数分别为( )。
(A)1 V,0 (B)0,2 A
(C)2 V,2 A (D)1 V,2 A
【答案】
C
121.
如图所示电路中,电压U恒定,在变阻器R的阻值逐渐增大的过程中,逐渐变亮的灯是( )。
(A)L1 (B)L2 (C)L3 (D)三灯都是
【答案】
B
122.
如图所示电路中,R1=24 Ω,R2=6 Ω,接在电压恒定的电路上,当变阻器的滑片P移到b端时,电路消耗的总功率为30 W,求当滑片P移到a、b中点时变阻器消耗的总功率。
【答案】
7.5 W
123.
如图所示电路中,R1=100 Ω,电流表示数为0.1 A,电压表示数为8 V,若不考虑电表对电路的影响,则A、B间总电阻为_______Ω。
【答案】
180
124.
如图所示电路中,R1=2 Ω,R4=5 Ω,电压表V1示数为2.5 V,V2示数为4 V,则R2的阻值为_______Ω。
【答案】
3
125.
如图所示电路中,R1=4 Ω,电压表示数为20 V,电流表示数为5 A,R2两端电压为8 V,则R2=_______Ω,R3=_______Ω。
【答案】
1,2.4
126.
如图所示电路中,变阻器R2=6 Ω,滑片P移到a端时电流表示数为2 A,滑片P移到a、b中点时,电流表示数为1.6 A,则R1=_______Ω,滑片P移到a、b中点时,变阻器消耗的电功率为_______W。
【答案】
6,24.96
127.
如图所示电路中,U=6 V,灯L为“6 V 3 W”的灯泡,R=12 Ω。当滑片P位于变阻器中点时,灯泡的实际功率为_______W,变阻器消耗的功率为_______W;当滑片P由b向a移动过程中灯L的亮度将_______。
【答案】
0.48,3.12,变亮
128.
如图所示电路中,电压表V1、V2的内阻分别为1500 Ω和3000 Ω,R1=R2=1500 Ω,电压U不变,则在电键S断开与闭合时,V1、V2表的示数之比分别为( )。
(A)1∶2,1∶1 (B)1∶1,1∶2
(C)1∶2,3∶4 (D)1∶1,4∶3
【答案】
C
129.
如图所示电路中,电源电压U恒定,由于某元件出现故障,使灯L1变亮,灯L2不亮,其原因可能是( )。
(A)R1断路 (B)R2断路 (C)R2短路 (D)R1短路
【答案】
D
130.
如图所示电路中,总电压U保持不变,滑动变阻器总电阻为2R,当滑片P位于变阻器中点O时,四个电流表上示数都为I0,当滑片移到O′点时( )。
(A)A1表的示数大于I0 (B)A2表的示数小于I0
(C)A3表的示数小于I0 (D)A4表的示数小于I0
【答案】
D
131.
如图所示电路中,U=210 V,电压表内阻为1000 Ω,单刀双掷开关S打向1时电压表示数为30 V,打向2时电压表示数为90 V,求电阻R1和R2的阻值。
【答案】
1000Ω,3000Ω
132.
如图所示电路中,U=30 V,R1=4 Ω,R2=6 Ω,R3=12 Ω,R4=3 Ω,求∶
(1)电键S闭合时流过S的电流大小和方向。
(2)将S换成电压表时电压表的示数。
【答案】
(1)2.5 A,向下
(2)12 V
133.两电阻R1和R2串联后接在电压恒为24 V的电路上,用一电压表并联在R1两端时示数为6 V,并联在R2两端时示数为12 V,求R1和R2阻值之比。
【答案】
1∶2
134.电源电动势的数值是由_______的性质决定的,一节干电池的电动势为_______V,一只铅蓄电池的电动势为_______V。
【答案】
电源本身,1.5,2.0
135.
如图所示的实验装置中,电压表V的示数是_______电压,电压表V′的示数是_______电压,图中A作为电源的负极,B作为电源的正极,则V表的正接线柱应在_______边,V′表的正接线柱应在_______边。当_______时端电压达到最大值,此时内电压为_______V。
【答案】
端,内,右,左,S断开,0
136.
如图所示电路中,开关S闭合时将变阻器R的滑片P向右移动的过程中,电压表V的示数将_______(选填“变大”、“不变”或“变小”,下同),电压表V′的示数将_______。设原来电压表V和电压表V′的示数分别为1.60 V和0.40 V,在改变变阻器R的阻值后,电压表V的示数变为1.50 V,则可知电压表V′的示数为_______V。若断开S,电压表V的示数又变为_______V,电压表V′的示数变为_______V。
【答案】
增大,减小,0.50,2.00,0
137.已知某电源的电动势为6 V,内电阻为0.5 Ω,将它与一个阻值为2.5 Ω的电阻连接成闭合电路,此时电路中的电流为2 A,则此时该电源的路端电压为_______V,电源发出的总电功率为_______W,电源的输出功率为_______W,电源的内电压为_______V,电源内电路消耗的电功率为_______W。
【答案】
5,12,10,1,2
138.为研究内电压和外电压的关系,请用铅笔画线作为导线连接如图中的实物图,使电压表V测量电源的路端电压,电压表V′测量电源的内电压,且变阻器R的滑片P向右移动时,电压表V的示数增大。

【答案】
图略
139.
如图所示电路中,变阻器R中的电流方向是_______,放有氯化锌溶液的玻璃缸中的电流方向是_______。
【答案】
从右到左,从左到右
140.关于电动势,下列叙述中正确的是( )。
(A)电源的电动势表示电源把其他形式的能转化为电能的本领大小
(B)电源的电动势等于电源断路时两极间的电压,所以电源接入电路时,电动势减小
(C)闭合电路中电动势在数值上等于内、外电压之和,当外电阻变大时,电动势也随之变大
(D)在闭合电路中,并联于电源两端的电压表的示数就是电源电动势
【答案】
A
141.对于同一电源,下列几个量中保持不变的量是( )。
(A)端电压 (B)电动势 (C)内电压 (D)总功率
【答案】
B
142.以下关于电动势的说法中正确的是( )。
(A)电动势是表征电源做功多少的物理量
(B)电动势是表征电源做功快慢的物理量
(C)电动势就是总电压
(D)电动势数值上等于电源断路时的端电压
【答案】
D
143.下列叙述中正确的是( )。
(A)电流方向总是从电源正极流向负极的
(B)当外电路接通时,电源的电动势变小
(C)电源两极间的电压始终保持不变
(D)当外电路接通时,电源的端电压变小
【答案】
D
144.下列叙述中不正确的是( )。
(A)电源的作用是把电能转化为其他形式的能
(B)电源的作用是把其他形式的能转化为电能
(C)电源的作用是给用电器加上电压
(D)电源的作用是使用电器上有电流通过
【答案】
A
145.一个内阻可以忽略的发电机用0.5 A的电流向外输电,在1 min内将180 J的机械能转化为电能,这个发电机的电动势为( )。
(A)6 V (B)48 V (C)24 V (D)12 V
【答案】
A
146.
如图所示电路中,电源电动势E=12 V,内电阻r=1 Ω,电阻R1=6 Ω,开关S闭合时电压表示数为3.6 V。求:
(1)电路中的电流。
(2)电阻R2的值。
(3)电源的输出功率。
【答案】
(1)1.2 A
(2)3 Ω
(3)12.96 W
147.有两只额定电压为U=6 V、额定功率为P=6 W的灯泡,并联后接在电动势为E=6 V,内电阻为r=1 Ω的电源的两极上,试求通过电源的总电流和外电路消耗的总功率。
【答案】
1.5 A,6.75 W
148.如果用E表示电源的电动势,U外表示端电压,U内表示内电压,R表示外电路的总电阻,r表示电源内电阻,I表示闭合电路中的总电流,那么根据下列给出的已知条件,求出其余各量(用已知量表示)。
(1)已知E、U内和r,则U外=_______,I=_______,R=_______。
(2)已知I、R和U内,则E=_______,U外=_______,r=_______。
【答案】
(1)E – U内,\(\frac{{{U_内}}}{r}\),\(\frac{{(E - {U_内})r}}{{{U_内}}}\)
(2)U内+Ir,IR,\(\frac{{{U_内}}}{r}\)
149.已知电源电动势E=12 V,与R=5 Ω的电阻连接成闭合电路时,电源发出的总功率为P总=24 W,则电源的内电阻r=_______Ω,电源的输出功率为_______W,电源的端电压为_______V。
【答案】
1,20,10
150.已知电源与R=6 Ω的电阻连接成闭合电路时,电源发出的总功率为32 W,输出功率为24 W,则电源的电动势E=_______V,内电阻r=_______Ω。
【答案】
16,2
151.有两个阻值均为R的电阻,串联后接在电源上时,电路中的电流为I1,若并联后接在同一电源上,通过每个电阻的电流为I2,且I1=\(\frac{2}{3}\)I2,则每个电阻与电源内阻之比为R∶r=_______。
【答案】
4∶1
152.在甲、乙两个电路中,电源电动势相同,但内电阻不同,且r甲>r乙,已知它们外电路的电流相同,则两电路的端电压大小关系是U甲_______U乙,两电路的内电压大小关系是U甲′_______U乙′(均选填“>”、“=”或“<”)。
【答案】
<,>
153.已知电源电动势为E=12 V,内电阻r=1 Ω,将电阻R1=6 Ω和R2=3 Ω的两个电阻串联后接于该电源上,则电源的端压为_______V,R1两端的电压为_______V,电源的输出功率为_______W,内电路消耗的电功率为_______W。
【答案】
10.8,7.2,12.96,1.44
154.
如图所示电路中,电源电动势为E=6 V,内电阻为r=1 Ω,外电阻为R=5 Ω。当开关S断开时,电压表V1的示数为_____V,电压表V2的示数为______V。当开关S闭合时,电压表V1的示数为_____V,电压表V2的示数为_______V。
【答案】
6,6,5,0
155.闭合电路中,下列各表达式中错误的是( )。
(A)U内=Ir (B)U外=Ir
(C)U外=\(\frac{{ER}}{{R + r}}\) (D)U内=\(\frac{{Er}}{{R + r}}\)
【答案】
B
156.
如图所示电路中,开关S闭合时,电压表示数为15 V,电路中的电流为3 A;开关S断开时,电压表的示数为18 V,则可知电源的内电阻为( )。
(A)6 Ω (B)5 Ω (C)3 Ω (D)1 Ω
【答案】
D
157.电阻R1、R2并联后接于电源上,若R1=R2=r,R1的功率为P1,内电路的功率为P2,电源发出的总功率为P3,则P1∶P2∶P3为( )。
(A)1∶1∶2 (B)1∶1∶3
(C)1∶4∶6 (D)1∶4∶2
【答案】
C
158.已知R1=6 Ω,R2=3 Ω,电源内电阻r=1 Ω,将R1和R2并联后接于该电源上,则下列结论中错误的是( )。
(A)流过R1和电源的电流之比为1∶3
(B)R1两端的电压与内电压之比为1∶1
(C)R2消耗的功率与内电路消耗的功率之比为4∶3
(D)电源发出的功率与输出功率之比为3∶2
【答案】
B
159.
如图所示电路中,电阻R1=3 Ω,R2=6 Ω,开关S断开时电压表示数为4.5 V,电源发出的总功率为9 W,求:
(1)电源的电动势和内电阻。
(2)开关S闭合后电压表的示数。
【答案】
(1)6 V,1 Ω
(2)4 V
160.
如图所示电路中,R1=4 Ω,R2=12 Ω,电源内电阻r=1 Ω,当开关S闭合后,电压表示数为3 V,求:
(1)电流表示数。
(2)电源电动势。
(3)电源的输出功率和内电路消耗的电功率。
【答案】
(1)0.75 A
(2)4 V
(3)3 W,1 W
161.
如图所示电路中,R1=2.5 Ω,R2=5.5 Ω;当开关S接到a时,电流表示数为1 A;当S接到b时,电流表示数为0.5 A,则电源电动势E=_____V,内电阻r=_____Ω。
【答案】
3,0.5
162.
如图所示电路中,若在电源两极并联一只电压表,当开关S接到a时,电压表示数为2.5 V;当S接到b时,电压表示数为2.75 V,则电源电动势E=_____V,内电阻r=_____Ω。
【答案】
3,0.5
163.
如图所示电路中,R1=6 Ω,R2=3 Ω,当开关S断开时,电流表示数为0.5 A;当S闭合时,电流表示数为1 A,则电源电动势为E=_____V,内电阻为r=_____Ω。
【答案】
6,3
164.
如图所示电路中,R1=R2=R3=1 Ω,当开关S1、S2都闭合时,电压表示数为1 V,当S1闭合、S2断开时,电压表示数为0.8 V,则电源电动势为E=_____V,内电阻为r=_____Ω。
【答案】
2,0.5
165.试画出用电压表和电流表测定一节干电池的电动势和内电阻的实验电路图,其中电压表的量程为“0~3 V”和“0~15 V”,应选_____V,电流表的量程为“0~0.6 A”和“0~3 A”,应选_____A。用铅笔画线作为导线,连接图所示实物图,且使滑动变阻器滑片在图示位置时接入电路的电阻最大。

【答案】
3,0.6
166.
某同学根据实验测得的数据画出如图(a)所示图像,则可知电源的电动势为_____V,内阻为_____Ω。若画出如图(b)所示图像,则可知电源的电动势为_____V,内阻为_____Ω。
【答案】
1.5,\(\frac{5}{6}\),2,0.25
167.
图为取相同的标度画在同一直角坐标上的两个电源1、2的U-I关系图,由图可知,它们的电动势和内阻的大小关系是( )。
(A)电源1的电动势和内电阻都较大
(B)电源1的电动势较小,但内阻较大
(C)电源1的电动势较大,但内阻较小
(D)电源1的电动势和内电阻都较小
【答案】
A
168.使用下列各仪器组合能够测定一节干电池的电动势和内阻的是( )。
(A)电压表、电流表、滑动变阻器 (B)电压表、滑动变阻器
(C)电流表、滑动变阻器 (D)电压表、电阻箱
【答案】
AD
169.用伏安法测电源的电动势和内电阻实验中,下列注意事项中错误的是( )。
(A)选内阻大些的电源做实验较好,端压变化较明显
(B)接通电路前,滑动变阻器应调到阻值最大位置
(C)应反复多次测量各组的U、I值,使误差减小
(D)作U-I图线时,直线应尽可能通过较多的点,线外的点大致均匀分布在线两侧
【答案】
C
170.在用伏安法测电源的电动势和内电阻实验中,在没有考虑电表内阻影响时,测量值分别为E′和r′,而电源的电动势和内电阻的真实值分别为E和r,则( )。
(A)E′>E,r′>r (B)E′>E,r′<r
(C)E′<E,r′>r (D)E′<E,r′<r
【答案】
D
171.
如图所示电路中,电阻R1=9 Ω,R2=3 Ω,R3=6 Ω。当开关S打向a时,电压表示数为2 V;S打向b时,电流表示数为0.8 A,求电源电动势和内电阻。
【答案】
12 V,1 Ω
172.
如图所示电路中,电阻R1=6 Ω,R2=18 Ω,R3=3 Ω,R4=9 Ω。当开关S1断开、S2闭合时,电流表示数为0.6 A;当开关S1闭合、S2断开时,电流表示数为\(\frac{2}{15}\)A,求S1、S2都闭合时电流表的示数。
【答案】
\(\frac{4}{15}\)A
173.闭合电路中,当外电阻R增大时,电流将_____,内电路的电压将_____,路端电压将_____。当外电路断路时,电流变为_____,路端电压等于_____。当外电路短路时,电流为_____,这时路端电压为_____。
【答案】
减小,减小,增大,0,E,\(\frac{E}{r}\),0
174.
如图所示电路中,当闭合开关S后,灯泡L1的亮度将比原来_____,灯泡L2的亮度将比原来_____(设灯泡均未烧坏)。
【答案】
暗,亮
175.
如图所示电路中,当滑动变阻器的滑片P向左移动时,电压表的示数将_____,电流表A1的示数将_____,电流表A2的示数将_____(选填“增大”、“减小”或“不变”)。
【答案】
减小,增大,增大
176.用一个电源给小灯泡供电,若并联的小灯泡只数增加,则其端压将_____,每只灯泡的亮度将_____,电源发出的总功率将_____(选填“增大”、“减小”或“不变”)。
【答案】
减小,减小,增大
177.
如图所示电路中,当滑动变阻器R的滑片P向右移动时,灯L1的亮度将_____,灯L2的亮度将_____,灯L3的亮度将_____。(均选填“变亮”、“变暗”或“不变”)
【答案】
变暗,变亮,变暗
178.
如图所示电路中,当滑动变阻器R的滑片P向下滑动时,电流表A示数将_____,电流表A1示数将_____,电压表V示数将_____,电压表V1示数将_____。
【答案】
增大,减小,减小,减小
179.在一个闭合电路中,电源电动势E、内阻r均保持不变,当外电阻R变化时,下列说法中正确的是( )。
(A)因为U=IR,所以R增大时路端电压也增大
(B)因为U=E-Ir,所以电流I增大时路端电压减小
(C)因为U=IR,当R增大时I减小,所以路端电压不变
(D、因为U=IR,所以当外电路断开时路端电压为零
【答案】
B
180.用电动势为E、内电阻为r的电源对外供电,则( )。
(A)当电源短路时,放电电流趋向无穷大
(B)当电源短路时,放电电流为\(\frac{E}{r}\)
(C)当外电路断路时,路端电压为零
(D)当电源短路时,电源发出的总功率最小
【答案】
B
181.
如图所示电路中,R1、R2为定值电阻,当可变电阻R3的阻值增大时( )
(A)A、B间电压增大 (B)A、B间电压减小
(C)流过R1的电流增大 (D)电路总电流增大
【答案】
A
182.
如图所示电路中,R1=R2,电源电动势为E,内电阻为r,若把R3的滑片P从中点移到A端,则两个电表的示数变化情况是( )。
(A)都变大 (B)都变小
(C)电压表变大,电流表变小 (D)电压表变小,电流表变大
【答案】
B
183.
如图所示电路中,电源内电阻不可忽略,R1=10 Ω,R2=8 Ω。当开关S打向a时,电压表示数为2.0 V,当开关S打向b时,电压表示数为( )。
(A)1.9 V (B)1.8 V (C)1.7 V (D)1.6 V
【答案】
ABC
184.
如图所示电路中,R1=R2=24 Ω,电源电动势E=6 V,当开关S闭合后,电压表示数为U=4 V,求:
(1)电源内电阻。
(2)若电压表接法不变,将另一电阻R3接入此电路,原来的元件均不变,电压表示数变为3 V,请画出接入R3后的电路图,并求出R3的阻值。
【答案】
(1)6 Ω
(2)再并联一个12 Ω的电阻
185.
如图所示电路中,电源内电阻r=1 Ω,R1=3 Ω,R2=6 Ω,当开关S1断开、S2闭合时,电压表示数为12 V;当S1、S2都闭合时,电压表示数为10 V,求:
(1)R3上消耗的电功率。
(2)在1 min内外电路上消耗的电能。
(3)当S1闭合、S2断开时,S2两端的电压。
【答案】
(1)12 W
(2)1200 J
(3)7.2 V
186.电阻R2和R3并联后再与R1串联,接到电源上,电源的电动势为6.0 V,内电阻为1.0 Ω,R1=3.8 Ω,R2=2 Ω,R3=3 Ω,则干路上的电流I1=_______A,通过R3的电流I3=_______A,电阻R1两端的电压U1=_______V,电源内电路上的电压U′=_______V。
【答案】
1,0.4,3.8,1
187.
如图所示电路中,电源电动势为20 V,R1=2 Ω,R2=10 Ω,R3=4 Ω,R3消耗的电功率为36 W,则a、b间电压为_______V,电流表的示数为 A,电源内电阻为_______Ω。
【答案】
12,4,2
188.
如图所示电路中,R1=9 Ω,R2=7.2 Ω,已知开关S断开和闭合两种情况下电源的输出功率相同,则S断开和闭合两种情况下,R1消耗的电功率之比为_______,电源的路端电压之比为______。
【答案】
9∶4,3∶2
189.
如图所示电路中,R1=5 Ω,R2=2 Ω,R3=2 Ω,电源电动势为6 V。当开关S断开时,电压表示数为4 V,则当S闭合时,电压表示数为_______V。
【答案】
4.62
190.
如图所示电路中,电源电动势为9 V,内电阻为1 Ω,R2=1 Ω,灯L1标有“6 V 6 W”、灯L2标有“3 V 3 W”,则要使L2正常发光,R1应为_______Ω,此时灯L1实际消耗的电功率为_______W。
【答案】
2,\(\frac{8}{3}\)
191.如图所示电路中,电源电动势为 20 V,内电阻为 2 Ω,电源发出的总功率为 40 W,滑动变阻器的最大阻值为 12 Ω,灯 L 的额定电压为 8 V。为使灯正常发光,滑片 P 与上端 a 间的电阻值为_______Ω,此时总电流为_______A,路端电压为_______V,灯消耗的电功率为_______W,R 消耗的电功率为_______W。
【答案】
4,2,16,8,24
192.
如图所示电路中,电源电动势和内电阻均不变。开关S断开时,电灯L能正常发光;S闭合时,要使电灯仍能正常发光,滑动变阻器R的滑片P应( )。
(A)向右移动 (B)向左移动
(C)不必移动 (D)以上三种情况都有可能
【答案】
B
193.用一节内阻为r的电池先后两次单独为电阻R1、R2(R1>R2)供电,R1与R2获得的电功率分别为P1、P2,则( )。
(A)肯定P1>P2 (B)当\(\sqrt {{R_1}{R_2}} \)<r时P1>P2
(C)\(\sqrt {{R_1}{R_2}} \)>r时P1>P2 (D)当\(\sqrt {{R_1}{R_2}} \)=r时P1>P2
【答案】
B
194.
如图所示电路中,已知R1=R2=\(\frac{{{R_3}}}{2}\),电源和电流表内阻均不计,第一次如图连接,第二次将电流表和电源位置对调,则两次相比( )。
(A)R3的电功率不变 (B)电路总功率不变
(C)R1的电功率不变 (D)电流表的示数不变
【答案】
D
195.
如图所示电路中,当滑动变阻器R的滑片P从a端移到b端的过程中,两电表的示数变化情况是( )。
(A)电流表的示数先增大后减小,电压表的示数增大
(B)电流表的示数先减小后增大,电压表的示数增大
(C)电压表的示数先增大后减小,电流表的示数减小
(D)电压表的示数先减小后增大,电流表的示数减小
【答案】
C
196.电源电动势为E=230 V,内电阻r=1 Ω,外电路并联着相同的电灯,规格都是“220 V 40 W”,电源向并联电灯送电的两根导线的总电阻为R=1.5 Ω,问为使电灯正常发光,需接几盏灯?
【答案】
22盏
197.
如图所示电路中,电阻R1=4Ω,R2=6Ω,电源内阻r=0.6Ω,电源输出功率为37.6W,电源发出的总功率为40 W,求电源电动势及a、b间的电压。
【答案】
20 V,4.8 V
198.常用的手电筒里的两节干电池是_______联的,设每节干电池的电动势为1.5 V,内电阻为1.0 Ω,则电池组的总电动势为_______V,总内阻为_______Ω。设小灯泡的电阻为8.0 Ω,则电路接通时,灯泡两端的电压为_______V,灯泡消耗的电功率为_______W。
【答案】
串,3,2,2.4,0.72
199.两个蓄电池串联,每个蓄电池的电动势为2.0 V,内电阻为0.4 Ω,则电池组的总电动势为_______V,总内阻为_______Ω,如果发生短路,则流过蓄电池的电流为_______A。
【答案】
4,0.8,5
200.电动势为1.5 V,内电阻为1 Ω的干电池四节,串联后对标有“6 V 6 W”的灯泡供电,则流过干电池的电流为_______A,每个干电池的路端电压为______V,灯泡实际消耗的电功率为______W。
【答案】
0.6,0.9,2.16
202.两个电池电动势都为E、内电阻都为r,串联后对外电阻R供电,R两端的电压恰好等于E,则外电阻与电池内阻的关系是R=_______r。
【答案】
2
202.四个蓄电池串联,每个蓄电池的电动势为2 V,内电阻为0.25 Ω,外电路上有两个电阻并联,R1=4 Ω,R2=12 Ω,则可知每个蓄电池的端压为_______V,流过R1的电流为_______A,R2消耗的电功率为_______W。
【答案】
1.5,1.5,3
203.
如图所示电路中,电池组由5个相同的蓄电池串联而成,每个蓄电池的电动势为2 V,内电阻为1 Ω,滑动变阻器R的最大阻值为20 Ω,R0=20 Ω。当R的滑片P由a端移到b端的过程中,电流表的示数改变了_______A。
【答案】
0.27
204.有电动势为2 V、内电阻为0.5 Ω的蓄电池三只,串联后向R=3 Ω的外电路供电,则电路的路端电压为( )。
(A)6 V (B)5 V (C)4 V (D)3 V
【答案】
C
205.
如图所示电路中,两节电池完全相同,开关S由2打向1时( )。
(A)电流表的示数减小,电压表的示数减小
(B)电流表的示数减小,电压表的示数增大
(C)电流表的示数增大,电压表的示数减小
(D)电流表的示数增大,电压表的示数增大
【答案】
B
206.三个电动势都为E、内电阻都为r的电池依次首尾相接连成闭合电路,不计连接导线的电阻,则每个电池的端压为( )。
(A)0 (B)E (C)2E (D)3E
【答案】
A
207.有5个相同的电池,每个电池的电动势为E=1.4 V,内电阻为r=0.3 Ω,将它们串联后向外电路供电,要使电池组的输出功率为8 W,那么输出电流可能为( )。
(A)2.67 A (B)2 A (C)1.14 A (D)1 A
【答案】
AB
208.某一个用电器,额定电压为6 V,额定功率为3 W,每个电池的电动势为1.5 V,内电阻为1 Ω,允许通过的最大电流为3 A,为能使用电器正常工作,至少需几节电池?
【答案】
6节
209.
如图所示电路中,四节电池串联,每节电池的电动势为1.5 V,内电阻为0.25 Ω,电阻R3=24 Ω。当开关S断开时,电流表的示数为0.5 A,电压表的示数为4 V,求:
(1)电阻R1和R2的值。
(2)当S闭合时,电流表和电压表的示数。
【答案】
(1)3 Ω,8 Ω
(2)0.45 A,3.6 V
210.我们通常利用多用表的_______挡来测量电阻,利用多用表还可以测量_______和_______,转动开关旋钮,可以改变测量上述量的_______。
【答案】
欧姆,电压,电流,量程
211.欧姆表是根据______________制成的,欧姆表内除了灵敏电流计外还有_______和_______。
【答案】
闭合电路欧姆定律,调零电阻,电池
212.欧姆表的刻度的特点是_______和_______,其最左端的示数是_______,最右端的示数是_______。
【答案】
反向,不均匀,∞,0
213.利用欧姆表测量电阻时,首先应根据被测电阻的估计值来选择适当的_______,然后将两表笔_______,调节_______,进行_______,再用两表笔分别接触待测电阻,从表盘上读出刻度数_______得出待测电阻的阻值。
【答案】
倍率挡,接触,调零电阻,调零,乘以倍率
214.指针指在刻度盘的_______范围内时,测量值比较准确。若指针偏离这个范围太远,这时应重新改换_______,重新_______。
【答案】
中央附近,倍率,调零
215.下列用多用表测电阻的步骤中,依次序写出所需选项应是_______。
(A)调整欧姆挡的调零电阻,使指针指在电阻刻度的零位上
(B)把两表笔相接触
(C)把开关旋钮拨到欧姆挡的适当倍率挡上
(D)把两表笔分别与待测电阻的两端相接触
(E)把待测电阻与别的元件和电源断开
(F)用小螺丝刀调整定位螺丝
【答案】
CBAED
216.如图所示电路中的小灯泡标有“6.0 V 0.06 A”的字样,电源电压为12 V,如果要用如图所示多用表测量小灯泡工作时的电压,电键S应_______,量程应取_______,红笔接触电路中的_______点,黑笔接触电路中的_______点。如果要用多用表测量小灯泡工作时的电流,电键S应_______,量程应取_______,红笔接触电路中的_______点,黑笔接触电路中的_______点。如果要用多用表测量小灯泡的电阻,电键S应_______,倍率挡应取_______,红笔接触电路中的_______点,黑笔接触电路中的_______点。
【答案】
接通,10V,a,b,断开,100mA,c,d,断开,×10,a或b,b或a
217.某学生用多用表测量某电路两端的电压时,开关旋钮和指针位置如图所示,则其读数应为_______V。如果测电流时开关旋钮放在10 mA挡,表盘上的指针位置仍在此处,则其读数为_______mA。
【答案】
19.5,3.9
218.下列叙述中正确的是( )。
(A)如果要测一个几十欧的电阻和一个几千欧的电阻,调零电阻只要调整一次就够了
(B)在测电阻时,红、黑表笔错插入负、正插孔,会影响测量结果
(C)在多用表使用完毕后,不要把开关旋钮放在欧姆挡,且应把表笔拔掉
(D)使用前表头指针没有指在最左端刻度上,应调整调零电阻
【答案】
C
219.用欧姆表测量某电阻时,指针位置如图所示,开关旋钮放在欧姆挡的×10倍率挡,则该电阻的阻值为( )。
(A)17 Ω (B)18 Ω (C)170 Ω (D)180 Ω
【答案】
C
220.如图所示电路中,灯L1和L2分别标有“2 V 2 W”、“2 V 1 W”,滑动变阻器最大阻值为6 Ω,电源电动势为4 V,内电阻为1 Ω,滑片P移到何处时电流表示数最小?此时L2的实际功率多大?电源发出的总功率多大?
【答案】
Rap=4 Ω,1 W,4 W
221.如图所示电路中,电阻R1=3.5 Ω,R2=R3=10 Ω,R4=5 Ω,电源电动势为30 V,内电阻为0.5 Ω,求外电路总电阻和R1两端的电压。
【答案】
9.5 Ω,10.5 V
222.用多用表测量电阻时,指针偏转角度越小,所测出的电阻值越_______(选填“大”或“小”)。若开关旋钮放在欧姆挡的×1倍率挡,准确调零后测某电阻,指针恰好指在20 Ω和30 Ω的正中央,则待测电阻的阻值_______(选填“大于”、“等于”或“小于”)25 Ω。
【答案】
大,小于
223.一多用表欧姆挡刻度示意图如图所示,用来测量两个电阻,R1约60 Ω,R2约470 kΩ,下面提供了一系列可能的操作,请合理选择各项操作,按顺序填写∶______________。
(A)将开关旋钮置于欧姆挡×1 k
(B)将开关旋钮置于欧姆挡×100
(C)将开关旋钮置于欧姆挡×10
(D)将开关旋钮置于欧姆挡×1
(E)将开关旋钮置于交流电压1000V
(F)将两表笔分别接触R1两端,读出R1的值后即断开
(G)将两表笔分别接触R1两端,读出R1的值后即断开
(H)两表笔短接,调整调零电阻,使指针指在0 Ω刻度上后即断开
【答案】
DHFAHGE
223.一学生用多用表测电阻,主要步骤如下∶
(A)将开关旋钮置于欧姆挡×100
(B)两表笔短接进行调零
(C)将两表笔分别与待测电阻两端接触,发现指针偏转较小
(D)换用欧姆挡×10来测量,读出阻值
(E)把表笔拔掉,电表放回原处
其中错误或疏漏处是∶
(1)________________________________________________________。
(2)________________________________________________________。
(3)_________________________________________________。
【答案】
应换用×1k挡,换挡后重新调零,结束后把开关旋钮放在off档或交流电压最大挡
225.如图所示电路中,接通电键S后,无论如何移动滑动变阻器的滑片P,小灯泡都不亮,如果所有仪器都是好的,只是一根导线断了或是接触不好,现用多用表的直流电压10 V挡去测量,发现a、b间电压为0 V,c、d间电压为12 V,e、f间电压为12 V,g、h间电压为0 V,则电路可能故障是_____________________。
【答案】
电键接触不好
226.某同学做DIS实验时用如图所示电路,利用该电路可以测量小灯泡的_______或_______。
【答案】
功率,电阻
227.使用欧姆表时,下列说法中正确的是( )。
(A)使用前指针未指在刻度最左端应先用调零电阻调零
(B)测量时为保证接触良好可用双手分别握住两笔和电阻两端的接触处
(C)测电路中元件的电阻时只要断开电路中的电源就行了
(D)使用完毕后拔去表笔,还应把开关旋钮置于off挡
【答案】
D
228.下列用欧姆表测电阻的步骤中错误的是( )。
(A)将开关旋钮置于欧姆挡×10处先进行调零
(B)测量时发现指针几乎指在最右端,应将开关旋钮改置于×100处
(C)测量时若发现指针几乎指在最右端,应将开关旋钮改置于×1处
(D)每测一个电阻前都必须重新调零
【答案】
BD
229.如图所示电路中,电池组由10节电池串联组成,每节电池的电动势为1.5 V,内电阻为0.1 Ω,可变电阻R的最大阻值为11 Ω,灯L为“6 V 3 W”,为使S1、S2闭合后灯能正常发光,R的a、c间电阻应为多大?此时电源的输出功率是多大?
【答案】
6 Ω,20.25 W
230.如图所示电路中,变阻器R1的最大电阻为12 Ω,电阻R2=12 Ω,R3=2.5 Ω,变阻器滑片P恰位于中点。当S闭合时,电压表数为3 V,此时电源发出的总功率为9 W,电源由4节电池串联成。求:
(1)每节电池的电动势和内电阻。
(2)当S断开时,变阻器R1消耗的电功率。
【答案】
(1)1.5 V,0.5 Ω
(2)\(\frac{{13}}{6}\) W
231.处理数字信号的电路叫数字电路,数字电路的基本单元是___________,而它最基本的电路有_______门、_______门和_______门。
【答案】
逻辑电路,与,或,非
232.“与”门就是输入端A与输入端B______________时输出Z才是高电势的逻辑电路;“或”门就是输入端A与输入端B______________时输出Z才是高电势的逻辑电路;“非”门就是输入端A______________时输出Z才是高电势的逻辑电路。
【答案】
都是高电势,任一个或都是高电势,是低电势
233.如图所示的是_______门电路,试填写其真值表,如果两个输入端的输入信号如图所示,试在图中画出其输出的信号。
|
输入 |
输出 |
|
|
A |
B |
Z |
|
0 |
0 |
|
|
0 |
1 |
|
|
1 |
0 |
|
|
1 |
1 |
|
【答案】
与
234.如图所示的是_______门电路,试填写其真值表,如果两个输入端的输入信号如图所示,试在图中画出其输出的信号。
|
输入 |
输出 |
|
|
A |
B |
Z |
|
0 |
0 |
|
|
0 |
1 |
|
|
1 |
0 |
|
|
1 |
1 |
|
【答案】
或
235.
如图所示的是_______门电路,试填写其真值表,如果两个输入端的输入信号如图所示,试在图中画出其输出的信号[p1] 。
|
输入 |
输出 |
|
A |
Z |
|
0 |
|
|
1 |
|
【答案】
非
236.简单机器人主要由_______、_______和_______三个模块组成,每一个模块试举出三个实例。
(1)______________、______________和______________;
(2)______________、______________和______________;
(3)______________、______________和______________。
【答案】
传感器,控制器,执行器
237.如图所示为一个逻辑门电路的输入端A、B上和输出端Z上的电信号,试在图中虚线框内画出该逻辑门的符号。
【答案】
或
238.如图所示为一个逻辑门电路的两个输入端和输出端的电信号,根据波形图完成右边的真值表。它是通过______门来买现这一输入输出的。
【答案】
或
239.如图所示为一个由“非”门构成的简易火警报警器电路,R是可变电阻,R′是一个热敏电阻(常温时电阻很大,而火警发生时阻值会降到很小),L是一个蜂鸣器,G是一个“非”门,请说明其工作原理。
【答案】
当温度较低时,R′很大,A点电势接近5 V,“非”门输入为高电势,输出应为低电势,蜂鸣器两端没电压,不响;当温度较高时,R′很小,A点电势接近0 V,“非”门输入为低电势,输出应为高电势,蜂鸣器两端有电压,报警。
240.如图所示为一个由“非”门构成的简易火警报警器电路,R是可变电阻,R′是一个热敏电阻(常温时电阻很大,而火警发生时阻值会降到很小),L是一个蜂鸣器,G是一个“非”门。如果调节可变电阻R,可以改变报警器的灵敏度。想一想,为了使报警器灵敏些,R应取得大些还是小些?
【答案】
大些,因为R′的电阻是随温度升高而逐渐减小的,当R较大时,R′稍减小些就可使A点电势降到零,也就是温度不太高时就会报警了。
241.全自动洗衣机通常由两个触发器来控制电源,一个是电源开关,另一个是洗衣机盖子,只有当电源开关和洗衣机盖子同时闭合时洗衣机电源才接通,这可以通过_______门电路做控制器来实现。
【答案】
与
242.一座大楼的楼道灯是声控的,但也可以手动控制,有声音时或有人按开关时楼道灯都会开启,这可以通过_______门电路做控制器来实现。
【答案】
或
243.一座大楼的楼道灯是光控的,白天有光照射时楼道灯自动关闭,晚上没有光照射时楼道灯自动开启,这可以通过_______门电路做控制器来实现。
【答案】
非
244.如图所示是一个“或”门和一个“与”门组成的“或与”门电路,试分析一下它的逻辑关系,填好真值表。如果三个输入端的电信号如图所示,试在图中画出它输出端的电信号。
|
输入 |
输出 |
||
|
A |
B |
C |
Z |
|
0 |
0 |
0 |
|
|
0 |
0 |
1 |
|
|
0 |
1 |
0 |
|
|
1 |
0 |
0 |
|
|
1 |
0 |
1 |
|
|
1 |
1 |
0 |
|
|
0 |
1 |
1 |
|
|
1 |
1 |
1 |
|
【答案】
00001101
245.如图所示是一个“与”门和一个“或”门组成的“与或”门,试分析一下它的逻辑关系,填好真值表,如果三个输入端的电信号如图所示,试在图中画出它输出端的电信号。
|
输入 |
输出 |
||
|
A |
B |
C |
Z |
|
0 |
0 |
0 |
|
|
0 |
0 |
1 |
|
|
0 |
1 |
0 |
|
|
1 |
0 |
0 |
|
|
1 |
0 |
1 |
|
|
1 |
1 |
0 |
|
|
0 |
1 |
1 |
|
|
1 |
1 |
1 |
|
【答案】
00011111
246.由一个“或”门和一个“非”门组成的逻辑电路,叫做“或非”门,如图(a)或(b)所示,试完成真值表。如果它的两个输入端的电信号如图(c)所示,试在图丙上画输出端的电信号。
|
输入 |
输出 |
|
|
A |
B |
Z |
|
0 |
0 |
|
|
0 |
1 |
|
|
1 |
0 |
|
|
1 |
1 |
|
【答案】
1000
247.如图所示为一个三人表决器的电路,A、B、C是电路的输入,并用1表示赞同,用0表示反对,输出F表示表决结果。当过半数人赞同时,用F=1表示通过;当少于半数人赞同或无人同意时,用F=0表示否决,请填好三人表决器的真值表。
|
输入 |
输出 |
||
|
A |
B |
C |
F |
|
0 |
0 |
0 |
|
|
0 |
0 |
1 |
|
|
0 |
1 |
0 |
|
|
1 |
0 |
0 |
|
|
1 |
0 |
1 |
|
|
1 |
1 |
0 |
|
|
0 |
1 |
1 |
|
|
1 |
1 |
1 |
|
【答案】
00010111
248.如图所示为一个三人表决器的电路,A、B、C是电路的输入,并用1表示赞同,用0表示反对,输出Z表示表决结果。当过半数人赞同时,用Z=1表示通过;当少于半数人赞同或无人同意时,用Z=0表示否决。试用两个“与”门和两个“或”门组成一个符合上题中所述要求的三人表决器电路。
【答案】
如图
2006 - 2026,推荐分辨率 1024*768 以上,推荐浏览器 Chrome、Edge 等现代浏览器,截止 2021 年 12 月 5 日的访问次数:1872 万 9823。 站长邮箱
