0.如果飞机驾驶员最多承受9倍重力的超重影响,当飞机在竖直平面上沿圆弧轨道俯冲时的速度为v,则该圆弧轨道的最小半径为_______。
【答案】
v2/8g
1.
如图所示为不打滑的皮带传动装置,大轮半径是小轮半径的两倍,A、B分别为大轮和小轮边缘上的点,C为大轮半径的中点,在传动时( )
(A)B点的角速度是A点角速度的2倍
(B)A点向心加速度是B点向心加速度的2倍
(C)C点向心加速度是A点向心加速度的1/4
(D)C点的角速度是A点角速度的1/2
【答案】
BCD
2.物体作匀速圆周运动的过程中( )
(A)速度和加速度都始终不变 (B)速度在变,加速度不变
(C)加速度在变,速度不变 (D)速度和加速度都时刻在变
【答案】
D
3.时钟上的时针、分针和秒针的角速度关系是( )
(A)时针的角速度与分针的角速度之比为1∶60
(B)时针的角速度与分针的角速度之比为1∶12
(C)分针的角速度与秒针的角速度之比为1∶12
(D)分针的角速度与秒针的角速度之比为1∶60
【答案】
BD
4.地球的半径为R=6400 km,在地面上北纬60°处,物体随同地球自转的线速度大小为_______m/s,向心加速度大小为_______m/s2。
【答案】
232,0.017
5.假设地球同步卫星的轨道半径是地球赤道半径的n倍,则( )
(A)其向心加速度是地面赤道上物体向心加速度的n倍
(B)其向心加速度是地面赤道上物体重力加速度的1/n2
(C)其向心加速度是地面赤道上物体向心加速度的1/n
(D)其向心加速度是地面赤道上重力加速度的n倍
【答案】
B
6.一座半径R=10 m的圆弧形凸形桥,桥的最高点能承受的最大压力N=30000 N,现有质量M=4 t的汽车通过这桥的最高点,则( )
(A)此桥必承受不住
(B)只要车速大于5 m/s桥就承受得起
(C)只要车速小于5 m/s桥就承受得住
(D)只要车速小于5\(\sqrt 3 \)m/s桥就承受不住
【答案】
B
7.汽车通过圆弧形拱桥顶端,当车的速度大小为10 m/s时,车对桥面的压力是车重的\(\frac{3}{4}\)。则当车对桥面的压力为零时,车的速度大小是( )
(A)15 m/s (B)20 m/s (C)25 m/s (D)35 m/s
【答案】
B
8.
如图所示,用绳相连的两个小球A、B套在水平光滑杆上,可沿杆滑动,两球质量分别为MA和MB,且MA=2MB。整个装置作匀速转动的角速度为ω,稳定后两球离竖直转轴的距离保持不变,则可知稳定时( )
(A)两球的向心力大小相等
(B)A球的向心力大于B球的向心力
(C)A球离转轴的距离是B球的一半
(D)当ω增大时A球将向外滑
【答案】
AC
9.人造地球卫星周期为T,速率为v,半径为R,所需向心力为F,角速度为ω。若另一个人造卫星圆周运动的轨道速率为2v,则( )
(A)其轨道半径为\(\sqrt 2 \)R (B)运动周期为\(\frac{T}{8}\)
(C)所需向心力为8F (D)运动角速度为2ω
【答案】
B
10.宇航员测得:某星球的半径为R,该星球表面附近绕星球运行的卫星的周期为T,则可知该星球的( )
(A)质量 (B)平均密度
(C)表面的重力加速度 (D)同步卫星离表面的高度
【答案】
ABC
11.弹簧振子从平衡位置拉开1 cm后放手开始振动,振动频率为2 Hz,则弹簧振子的振幅为________cm,1 s内振子走过的路程为_________cm。
【答案】
1,8
12.
一个质点作简谐振动的图像如图所示,则该质点( )
(A)在3.5 s时速度为正,加速度为负
(B)在4 s时速度最大,加速度为零
(C)在0至1 s的时间内,其速度和加速度方向相同
(D)在2 s时的位移沿x轴的负方向
【答案】
ACD
13.单摆的周期在发生下述哪种变化时将会增大( )
(A)摆球质量增大 (B)单摆的摆长减小
(C)单摆从赤道移到北极 (D)单摆从海平面移到高山上
【答案】
D
14.
如图所示,AC是半径为3 m的光滑圆弧槽,圆弧与水平面相切于A点,底边长为AB=8 cm,高为BC=5 cm。现将小球先后从顶点C和圆弧AC的中点D静止起释放,则两次运动到A点的时间tC和tD的关系是( )
(A)tC>tD (B)tC<tD (C)tC=tD (D)无法确定
【答案】
C
15.已知地球和月球的质量分别为M、m,半径分别为R、r,甲单摆在地球上的周期和乙单摆在月球上的周期相同,则甲、乙单摆的摆长之比为_______,摆长相等的单摆在地球上和月球上的周期之比为_______。
【答案】
Mr2∶mR2,\(\sqrt {m{R^2}} \)∶\(\sqrt {M{r^2}} \)
16.关于曲线运动,下列说法中正确的是( )
(A)初速度和合外力方向不相同时物体必作曲线运动
(B)变力作用下物体必作曲线运动
(C)在不垂直于速度方向的力作用下物体也可能作圆周运动
(D)在恒力作用下物体也可能作曲线运动
【答案】
CD
17.某同学在质点运动轨迹上的A点处画出了速度和加速度方向的四种情况,如图所示。其中有可能正确的是( )

【答案】
C
18.某质点同时受到在同一平面内的几个恒力作用而作匀速直线运动,在运动过程中突然撤去其中的某个力,则该物体( )
(A)一定作匀加速直线运动 (B)一定作匀减速直线运动
(C)其轨迹可能是抛物线 (D)可能作匀速圆周运动
【答案】
C
19.一质点受两个互成锐角的力F1、F2作用由静止起运动。若在运动过程中保持两力的方向和F2的大小不变,而F1突然增大到F1ʹ,则质点( )
(A)一定作匀加速曲线运动 (B)在相等时间里速度变化一定相等
(C)可能作匀加速直线运动 (D)可能作变加速曲线运动
【答案】
AB
20.
如图所示,一单摆悬挂在O点,将它拉至水平位置后放手,让它无初速落下,在O点正下方的P点有一钉子阻止OP部分绳子的摆动。当摆球向左运动到最低点时突然增大的物理量有( )
(A)线速度 (B)摆线的角速度
(C)向心加速度 (D)摆线张力
【答案】
BCD
【解析】
当绳子被钉子卡住时,小球受到重力和绳子拉力作用,都沿竖直方向,沿小球摆动圆弧的切线方向没有力,因而小球速度的大小不会变化。由ω=\(\frac{v}{r}\)可得出当运动半径减小时,其角速度就增大;又由a=vω可得出向心加速度也增大,再由牛顿定律得T-mg=\(\frac{{m{v^2}}}{R}\),即T=mg+\(\frac{{m{v^2}}}{R}\),可知当半径减小时绳子拉力将增大。故选B、C、D。
21.用m表示地球同步卫星的质量,h表示它离地面的高度,R0表示地球的半径,g0表示地面附近的重力加速度,ω0表示地球自转的角速度,则卫星受到地球对它的万有引力大小为( )
(A)0 (B)\(\frac{{mR_0^2{g_0}}}{{{{({R_0} + h)}^2}}}\) (C)m\(\sqrt[3]{{R_0^2{g_0}\omega _0^4}}\) (D)以上都不对
【答案】
BC
22.有甲、乙两架走时不准的摆钟,它们的摆长分别为L1和L2。已知在相同时间内甲钟比标准钟快t s,乙钟比标准钟慢t s,则标准钟的摆长为________。
【答案】
\(\frac{{4{L_1}{L_2}}}{{{{(\sqrt {{L_1}} + \sqrt {{L_2}} )}^2}}}\)
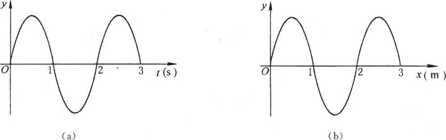
23.如图所示,图(a)是一列横波中距波源x=1 m的质点的振动图像,图(b)是该波在t=2 s时刻的波动图像。求该波的频率,波长和波速,并指出它的传播方向。

【答案】
f=0.5 Hz
v=1 m/s
向右传播。
24.
电风扇在闪光灯下转动,灯每秒闪光30次,风扇有三个均匀分布的叶片,如果转动时观察不到叶片转动,则其转速为多大?如果转动时观察到有六个叶片,则其转速又为多大?
【答案】
10k,5(2k+1)
25.从地球上观察到太阳的直径对地球的张角为0.5°,引力常量取6.67×10-11 N·m2/kg2,每年按365天计算,求:
(1)估算出太阳的平均密度;
(2)如太阳密度与地球密度之比为0.3,估算出地球的半径大小。
【答案】
(1)1.712×103 kg/m3
(2)约6275 km
42.地球公转周期和轨道半径分别为T和R,月球绕地球公转周期和轨道半径分别为t和r,则太阳和地球的质量之比为_______。
【答案】
\(\frac{{{t^2}{R^3}}}{{{T^2}{r^3}}}\)
43.如果有一星球的密度跟地球密度相同,又已知它表面处的重力加速度是地面的4倍,则该星球质量将是地球的_______倍。
【答案】
64
44.
如图所示,一滑块沿着粗糙的竖直圆弧轨道滑行,经过最高点时速度大小v=2 m/s,圆弧半径R=2 m,滑块与轨道间的滑动摩擦系数μ=0.5,则滑块经过最高点时的加速度大小为_______m/s2。
【答案】
2\(\sqrt 5 \)
【解析】
提示:总加速度为向心加速度和由摩擦力产生的切向加速度
47.
如图所示是一列横波在某时刻的波形图的一部分。已知C点的加速度大小为8 m/s2,A点的速度方向向上,AB相距0.5 m,经过0.1 s,B点第一次到达最大位移,则图中所示时刻D点加速度大小为_______m/s2,方向_______,这列波是向_______传播的,波速大小为_______m/s。
【答案】
8,上,左,2.5
48.一列简谐横波沿直线传播,位于直线上相距1.8 m的A、B两点的振动图像如图所示。如果这列波的波长大于5 m,那么其频率是_______Hz,波传播的方向是_______,波速的大小是_______m/s,其波长是_______m。

【答案】
2.5,A到B,18,7.2
56.关于机械波下列说法中错误的是( )
(A)波产生需要两个条件,即波源和介质
(B)在传播方向上两个振动情况完全相同的质点之间的距离是一个波长
(C)波动过程是能量由近及远传播的过程
(D)波源振动一个周期,波就沿传播方向前移一个波长
【答案】
B
57.组成单摆的条件是( )
(A)摆线不可伸长 (B)摆线长远大于小球直径
(C)小球质量远大于摆线质量 (D)最大摆角小于5°
【答案】
ABC
58.利用单摆测定重力加速度的实验中,若测得的g值偏小,可能的原因是( )
(A)测摆长时,仅测了线长,未加上小球半径
(B)测摆长时,将线长加了小球的直径
(C)测周期时,把n次全振动误记为n+1次
(D)测周期时,把n次全振动误记为n-1次
【答案】
AD
60.在天体运动中,把两颗相距较近的星体称作双星,两颗星体由于存在相互作用的万有引力而相互距离不变,已知两星体的质量分别为M1和M2,两星体相距为L,试求两星体各自运动的半径以及角速度。
【答案】
\(\frac{{{M_2}L}}{{{M_1} + {M_2}}}\),\(\frac{{{M_1}L}}{{{M_1} + {M_2}}}\sqrt {\frac{{G({M_1} + {M_2})}}{{{L^3}}}} \)
【解析】
提示:两星体所受向心力相同,角速度也相同,但求引力时的R和轨道半径R不同
61.
一列横波在x轴上传播,在t1=0和t2=0.005 s时的波形图线如图所示,求:
(1)由图中读出波的振幅和波长;
(2)设周期大于(t2-t1),如果波向右传播,波速多大?如果波向左传播,波速又是多大?
(3)设波速为6000 m/s,求波的传播方向;
(4)设波速为5200 m/s,求波的传播方向。
【答案】
(1)0.2 m,8 m
(2)400 m/s,1200 m/s
(3)向左传播
(4)向右传播
62.已知地球半径为R,地面附近的重力加速度为g,则在离地高h的轨道上的人造卫星的运行速度为_______。
【答案】
\(\sqrt {\frac{{{R^2}g}}{{R + h}}} \)
66.
如图所示为水平放置的纸圆筒截面,半径为R,以角速度ω顺时针方向绕其水平对称轴匀速转动,子弹水平沿直径穿过圆筒,留下a、b两个弹孔,若测得∠aOb=φ,则子弹速度的最大值是_______。
【答案】
\(\frac{{2R\omega }}{{\pi - \varphi }}\)
【解析】
提示:子弹速度最大时应从a射入b射出
68.已知月球上的重力加速度是地球上的\(\frac{1}{6}\),一个在地球上周期为6 s的单摆,放到月球上去,其周期为_______s。
【答案】
6\(\sqrt 6 \)
70.
如图所示,质量为m的木块从半径为r的圆弧曲面上的a点滑到b点。如果由于摩擦力的作用,木块运动过程中的速度大小保持不变,则在运动过程中( )
(A)木块运动的加速度为零
(B)木块所受合外力为零
(C)木块所受合外力大小不变,方向不断变化
(D)木块的势能减少等于动能的增加
【答案】
C
72.
如图所示为两级皮带传动装置,转动时皮带均不打滑,中间两个轮子是固定在一起的,轮1的半径和轮2的半径相同,轮3的半径和轮4的半径相同,且为轮1和轮2半径的一半,则轮1边缘的a点和轮4边缘的c点相比( )
(A)线速度之比为1∶4 (B)角速度之比为4∶1
(C)向心加速度之比为8∶1 (D)向心加速度之比为1∶8
【答案】
D
74.
如图所示为一列横波,实线和虚线分别表示在t1、t2时刻的波形图。t2-t1=0.05 s,且3T<t2-t1<4T,则下述说法正确的是( )
(A)若波向右传播,则波速可能为40 m/s
(B)若波向右传播,则波速可能为520 m/s
(C)若波向左传播,则波速可能为600 m/s
(D)若波向左传播,则波速可能为120 m/s
【答案】
BC
75.
在均匀介质中,各质点的平衡位置在一直线上,如图(a)所示,相邻两质点间的距离为a,振动从质点1开始向右传播,经过时间t,前13个质点第一次形成的波动图像如图(b)所示,则( )
(A)波长为8a
(B)周期为\(\frac{3}{2}\)t
(C)各质点振幅相同
(D)在该时刻质点1的运动方向竖直向下
【答案】
ACD
76.下列关于振动和波的说法中,正确的是( )
(A)单摆振动时,摆球所受的回复力是重力沿圆弧轨迹的切向分力
(B)波在介质中各质点的振动具有相同的频率和速度
(C)由波源产生的波频率与波源的频率相同,波速和波源的振动速度也相同
(D)同一波源发出的波在不同介质中传播时,波长与波速也成正比
【答案】
AD
78.用单摆测重力加速度实验中
(1)细线的长度宜选用( )
(A)约1.5 m (B)约1 m (C)约0.4 m (D)约0.1 m
(2)测振动周期时选用全振动次数是( )
(A)10次 (B)30次 (C)100次 (D)1次
(3)用停表开始计时时,摆球所处的位置是 ( )
(A)最高点位置 (B)最低点位置 (C)任意位置
(4)如果测得的g值偏大,可能原因是 ( )
(A)小球质量偏小 (B)把线长加小球直径作为摆长了
(C)振幅不断减小 (D)把单摆全振动29次记作30次了
【答案】
(1)B
(2)B
(3)B
(4)BD
79.一只摆钟在地面上走时准确,周期为2 s。如果把它移到离地面高为200 m的塔顶,每昼夜摆钟的走时将发生什么变化?变化量是多少?(假设摆钟的运动可以看作单摆,地球半径为6370 km)
【答案】
变慢,2.7 s
【解析】
先求出此时单摆的周期T,然后Δt=24×3600(1-\(\frac{{{T_0}}}{T}\))。
2006 - 2026,推荐分辨率 1024*768 以上,推荐浏览器 Chrome、Edge 等现代浏览器,截止 2021 年 12 月 5 日的访问次数:1872 万 9823。 站长邮箱
