第二章 数学知识
2.1 简介
在生活中你可以看到许多不同种类的水并希望它们足够真实。自然界中不同类型的水有几个共同的特性,但有些特性截然不同。水的主要特性是:
- 水表面的反射
- 水面下的折射
- 多次反射和折射
- 反射和折射的比例:菲涅尔公式
- 一些颜色的小变化(脏水),水雾
- 水面的移动
- 镜面反射
- 深层水现象
2.2 水面的光学效果
2.2.1 反射
根据维基百科的定义:“反射是指波在两个不同介质之间发生的方向改变。常见的例子包括光线,声音和波浪的反射。”从某种程度上说水面就像一面镜子。光会在水面发生反射。物理规律是:反射角等于入射角,我们根据表面的法线测量这两个角度,即α=β:

只考虑水面的反射很容易计算水面像素的颜色。将相机的位置关于水表面镜像:只需确定通过水面的每个像素的物体颜色就可以了,原理如图2-2所示:

如果相机在A点,水面的颜色就是物体通过B点的交点的颜色。B点离开水面的距离与A点相同,这两个距离用图中的字母“k”表示。
2.2.2 折射
电磁波的速度在不同媒质中是不同的。光从一个介质通过另一个介质时速度会发生改变,这时会发生折射现象。根据斯涅耳定律(得名于荷兰数学家Willebrord Snellius),入射角和折射角之间的关系是:它们的比值是一个常数,取决于介质,更确切地说两者的正弦之比等于两介质中的波速之比:
sinθ1/sinθ2 =v1/v2 =n2/n1
或
n1sinθ1=n2sinθ2
这两个角度是相对于界面法线的说的。根据这个规律,入射光会发生偏折,偏折程度由两介质的相对折射率决定。如图2-3所示:

空气中的折射率为1,而水中为4/3。
2.2.3 三维空间
前面讨论的规律和例子只在2维平面中,但要描述现实世界,一切都需要三维。 [ MFGD ]提出了下列方程。s为入射光(向量),t是经过变换的光线,n为表面法线。转换的向量t有两个分量:一个平行于法线,另一个垂直于法线,可写成下列形式:
t = -n cosθ2 + msinθ2
要计算两个系数,我们需要用到这样一个关系:即只有沿表面的角会发生变化而不是整个方向都变化。m可以定义如下:
m = perpns / sinθ1 = s - (n·s) n / sinθ1
由前面的方程[ MFGD ]结果如下:
\[{\bf{t}} = - {\bf{n}}\left( {\sqrt {1 - \frac{{\eta _1^2}}{{\eta _2^2}}(1 - {{({\bf{n}} \cdot {\bf{s}})}^2})} + \frac{{{\eta _1}}}{{{\eta _2}}}({\bf{n}} \cdot {\bf{s}})} \right) - {\bf{s}}\frac{{{\eta _1}}}{{{\eta _2}}}\]
该方程中有可能包含负的平方根,这意味着方程的每个系数并不确定,物理原因如下描述。
2.3.4 临界角
我要提及的一个重要现象与折射有关。如果光线从光密媒质射向光疏媒质,折射角会变大,当入射角增至某一数值时,折射角等于90度,这时,折射光线消失,这种现象称为全反射,对应的这个入射角叫做全反射临界角,水射向空气的临界角约为50度。见图2-4:

上面的图片来着维基百科和和
http://www.glenbrook.k12.il.us。
还有一个的Flash游戏可以理解反射和折射,在这个网址:
http://www.ps.missouri.edu/rickspage/refract/refraction.html
译者:以上知识可参见《新概念物理-光学》6至14页
2.2.5 多次反射和折射
光线在水面会发生反射和折射,但一定程度上光线会在表面再次反射和折射,图2-5说明了这种情况:

图像来自于[ TEoNIaRT ]。
2.2.6 反射和折射的比例:菲涅尔效果
译者注:对水面来说,当观察者和水面的角度越小时,反射效果越明显,角度越大时,折射效果越明显,称为菲涅尔效果。
本章的前两节介绍了反射和折射,它们在界面上是同时发生的,如图2-6所示:

但是,如何获取准确的反射和折射的比例?Augustin-Jean Fresnel 在19世纪初得出了规律。他的方程用不同的强度定义了反射角和边界上的透光率,方程的导出过程已经超出本教程的范围。波有两个偏振分量:一个平行一个垂直。Ei是入射波振幅,Er和Et 是反射波的振幅和透射波的振幅。
r = Er/Ei
t = Et/Ei
垂直部分的方程如下:
r = (nicosθi− ntcosθt)/(nicosθi + ntcosθt)
t =2nicosθi)/(nicosθi+ ntcosθt)
下一个方程显示的平行部分:
r = (nicosθi− ntcosθi)/(nicosθt + ntcosθi)
t = 2nicosθi/(nicosθt + ntcosθi)
更优雅的版本有:
perpendicular r = −(sinθi−sinθt)/(sinθi+sinθt)
和
parallel r =(tanθi−tanθt)/(tanθi+tanθt)
如果光的偏振只有垂直部分,我们称之为S 极化。同样地,如果只有平行部分,称之为P极化。图2-7展示了取决于角度的系数在同时存在S 极化和P极化下的情况:

http://en.wikipedia.org/wiki/Fresnel_term
http://hyperphysics.phy-astr.gsu.edu/Hbase/phyopt/freseq.html
http://www.inyourfacefotos.com/fresnel.htm
译者:以上知识可参见《新概念物理-光学》276至288页
2.3水的移动
2.3.1 波
描述海浪是一个巨大的挑战。它有几个不同的部分并组合在一起形成一个非常复杂的系统。有两种不同类型的机械波:横波和和纵波。横波的中质点的振动方向与波的传播方向垂直,如图2-8所示:

而纵波中质点的振动方向与波的传播方向在一直线,如图2-9所示:

例如,声波在空气中的传播是纵波而弹吉他弦是横波。对于两种波来说,振幅是偏离平衡位置的最大位移,而波长是运动情况总相同的两质点间的最短距离。频率表示一秒内质点的振动次数,从以上数据很容易计算波速:波速等于频率乘以波长。
风和重力的共同作用构成了海浪沿表面的传播。这个复合系统既有横波又有纵波,使水粒子沿着一个圆形路径运动。越接近表面的粒子运动半径越大。这种波称为表面波,可用图2-10表示:

A点水较深,是圆形路径,B点水较浅,运动路径随着深度的增大变成椭圆并越来越扁。箭头#1表示波的传播方向。#2表示波峰,#3表示波谷。下面的动画显示了这个过程:

以下公式描述了表面波的散射关系(来自scienceworld homepage):
\[{\omega ^2} = gk + \frac{{\gamma {k^3}}}{\rho }\]
ω是角频率,g是重力加速度,k是波数,γ是表面张力,ρ是密度。可用下式求ω:
\[\omega = \sqrt {gk + \frac{{\gamma {k^3}}}{\rho }} \]
2.3.2 复合系统-不同波的合成
先前讨论的理论足以描述海浪的运动,但我们需要使用更多具有不同振幅和波长的波获得更为真实的效果,如图2-11:

不同的波组合在一起形成如图2-12所示的波:

在三维世界中波的不同组成部分不仅有不同的振幅和波长,还有不同的传播方向。占主导地位的方向是最大幅度和最长周期的那个波。图2-13展示了三个组成部分:

三者的组合可以近似的模拟真实的海表,如图2-14:

图片来自于 http://www.glenbrook.k12.il.us/gbssci/phys/Class/waves/u10l1c.html
和
http://www.carbontrust.co.uk/technology/technologyaccelerator/ME_guide2.htm
有用的链接:
http://oceanworld.tamu.edu/resources/ocng_textbook/chapter16/chapter16_01.htm
2.3.3 Gerstner波
捷克科学家Jozef Gerstner在1802年第一次提出了精确描述水波任意幅度的解决方法。他的模型还介绍了表面波的摆线运动。在这个模型中,水深比波长大。这个曲线也称为摆线。偏移量是由下列方程决定的:
x = X0-(k/k0) * A sin( k * X0 - ωt)
y = A cos( k * X0 - ωt)
公式中X0是不受干扰的表面上的点,A是振幅,k是波矢,k0是其大小。如果振幅很小,Gerstner波接近正弦,但如果振幅很大波会破碎,见图2-15:

这些性质使Gerstner波可以用来描述不同情况下的波。更多细节可参见 [IAoOW] 或[GW]。
2.3.3 纳维-斯托克斯(Navier-Stokes)方程
Navier - Stokes方程(NSE)是非线性偏微分方程,用来描述的不可压缩的液体的运动。在NSE中有三个力:
- 重力:Fg=ρG ,其中ρ是密度和G是引力(9.81 m/s2)。
- 压力:压力指向水面的法线。
- 粘滞力:水之间的摩擦力,作用在水的各个方向上。
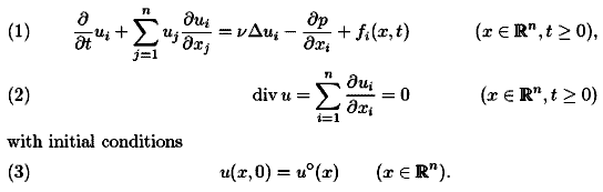
公式中的时间t依赖于混沌,流体的随机行为称为动荡,Navier - Stokes方程用来描述这个现象,但现在还没有解决这个方程的求解。谁能作出初步的数学理论将有助于理解这种现象,奖金是100万美元。Navier - Stokes方程如下:
uº(x)给定,C∞divergence-free矢量场Rn上,fi(x, t)是给定的分量,外加力(如重力),ν是粘滞系数,
\[\Delta = \sum\limits_{i = 1}^n {\frac{{{\partial ^2}}}{{\partial x_i^2}}} \]
是拉普拉斯算符。欲了解详情,请参阅[ NSEP ]或[ GPUGEMS ]。
译者:这个公式十分眼熟,原来在几个月前看的一本名叫《千年难题》书中见过。此书描述了七大“悬赏一百万美元的难题”,从简到难分别是:黎曼假设,杨-米尔斯理论和质量缺口假设,P对NP问题,纳维-斯托克斯方程,庞加莱猜想,戴尔猜想,霍奇猜想。纳维-斯托克斯方程排第四,纳维是法国当时最著名的工程师之一,他的名字被刻在了埃菲尔铁塔上。纳维改进了欧拉的方程,使之能适用于有一定黏性的流体这一更为实际的情况。纳维的数学推理是有缺陷的。但由于运气好(或者说由于工程师的过人直觉),他最后得出的方程是正确的。几年之后,爱尔兰数学家斯托克斯(在月亮和火星上都有以他名字命名的环形山)作出了正确的推导。但没有人能够找出一个解纳维-斯托克斯方程的公式。确切地说,没有人能够在原则上证明这个方程是否有解!(当然,每当一种真实的流体作了一次流动,大自然就“解”了一次这个方程)
2.4各种水现象
2.4.1镜面反射
具有一个平面的材料(如:皮革,玻璃和水)有一个有趣的现象,这点我前面没有提及。有几种不同的反射模式,其中一些模式使图像更加逼真,同时也有助于改近小的细节。其中一个是镜面反射。像沙子之类的材料有不规则,不平坦的表面,这使得入射光在每一个方向都会反射。图2-16表示了这个现象:

但是,如果材料具有光滑表面,入射光将会平行反射。由于这个性质,如果入射光从特定角度入射的话,会在皮革、不同的金属或水之类的物体上形成光泽和亮点。Phong光照模型是三维图形中最常用的方式。Phong Bui Tong在1975年提出了这个模型至今仍使用得很普遍。根据这个模型,点的亮度有三个组成部分:一个环境光,一个漫反射光和一个镜面反射光。如果观察者远离反射光的方向,那么镜面反射将变弱。图2-17显示了相关的矢量:

在Phong模型中,反射强度近似为角度余弦的幂,原始公式是:
kspec cosnβ
其中β是R和V的夹角,kspec是镜面反射系数。指数n可以影响锐度的大小,指数越大反射越强。两个向量的点乘等于它们之间的角度的余弦,所以公式可以写成:
kspec (V•N)n
这里的“ • ”表示点乘。使用漫反射光照模型Phong光照模型如下表示(I是指强度):
I = kambient * Iambient + (Ip /(d)) [kdiffuse * (N•L) + kspecular * (V•R)n]
k是环境、漫反射、镜面反射系数,“ • ”指点乘,即点的光强等于三者的和。
http://www.dgp.toronto.edu/~karan/courses/csc418/fall_2002/notes/illum_local.html
http://www.mini.pw.edu.pl/~kotowski/Grafika/IlluminationModel/Index.html
2.4.2 刻蚀(Caustics)
水面还有刻蚀:光束从弯曲的表面反射或折射,因此只聚焦在受光面上的某些区域,于是就产生了刻蚀现象,如图2-18所示:

刻蚀的原理如图2-19所示

2.4.3 Godrays
引起刻蚀的相同物理效果也会形成Godrays(在[ DWAaR ]中提及)。不断变化的水面使光线不断聚焦和失焦。水中漂浮的小颗粒可以进入这些焦点中,并在短期内可见。由这些效果产生的光斑不断变化被称为Godrays,如果您从水下看光源就可以看到这种现象。图2-20是一个渲染的例子:

2.4.4 白浪和泡沫(Whitecaps and foam))
波浪的破碎会形成泡沫,堆积的部分叫做白浪。根据[ RNW ],白浪取决于水的温度和水面上空气的化学性质。他们使用一个经验公式来近似覆盖泡沫的水的光学特性:
f = 1.59 * 10-5 U2.55 exp[0.086 * (Tw - Ta )]
其中f是小数部分,U是风速,TW和Ta是水和空气摄氏温度。
2.4.5 开尔文水楔(The Kelvin Wedge)
在开放的水域,移动的船只会产生波浪。这些波浪不能视为纵波。这种现象,称之为水楔,首先是由开尔文勋爵提出的。一个理想化的例子可见图2-21

船只后面的复杂波形受到水的粘度、移动方向、重力的影响,如果振幅很大,还要产生非线性俄效果。Stern波和涡流互相叠加,and not infrequently, other wave systems may be discerned originating from somewhere between the bow and stern。事实上,与船的速度无关,该角有开尔文水楔封闭,解释这个超出了本文的范围。详细信息请参阅[ FDfP ]。
参考资料
[MFGD] - Mathematics for Game Developers - Christopher Tremblay - Thomson course technology.
[DWAaR] - http://www.gamasutra.com/gdce/2001/jensen/jensen_04.htm,Deep-Water Animation and Rendering
[TEoNIaRT] -http://delivery.acm.org/10.1145/1110000/1103932/cs31.pdf?key1=1103932&key2=1886155021&coll=GUIDE&dl=GUIDE&CFID=59177333&CFTOKEN=24688997,The elements of nature: interactive and realisic techniques
[RNW] - http://www.cs.utah.edu/vissim/papers/water/waterColorPG.pdf,Rendering Natural Waters - Simon Premoze, Michael Ashikhmin
[TYPHOON] - http://www.gameprog.it/hosted/typhoon/water.htm,Typhoon 3D engine
[NSEP] - http://www.claymath.org/millennium/Navier-Stokes_Equations/navierstokes.pdf,CHARLES L. FEFFERMAN: Existence and smoothness of the Navier-Stokes equation
[GPUGEMS] - http://developer.download.nvidia.com/books/HTML/gpugems/gpugems_ch38.html,Gpu Gems - Chapter 38. : Mark J. Harris: Fast Fluid Dynamics Simulation on the GPU
[FDfP] -http://books.google.hu/books?id=9LaWEx4XbvYC&pg=PA188&lpg=PA188&dq=kelvin+ship+waves&source=web&ots=-h_cO-AtAy&sig=7uoGo8atyiDN2V7XmsUUShJOmU8&hl=en#PPA188,M1",T. E. Faber: Fluid Dynamics for Physicists
[IAoOW] -http://www-evasion.imag.fr/Publications/2002/HNC02/wavesSCA.pdf,Damien Hinsinger, Fabrice Neyret, Marie-Paule Cani: Interactive Animation of Ocean Waves
[GW] - Jefrey Alcantara ,http://www-viz.tamu.edu/students/jd/658/T_algorithms.html
发布时间:2009/4/9 下午4:33:08 阅读次数:13912
