Word 中用 EQ 域编辑数学公式详解
原文地址:http://blog.sina.com.cn/s/blog_7942b895010142s8.html。
域是 Word 的精髓,他的应用是非常广泛的,正确使用域可以实现许多比较复杂的功能。在 Word97/2000 中域共有九大类七十余种,这其中尤以 EQ 域变化最多最为复杂,现在给大家介绍一下 EQ 域的典型应用。
一、有关域的几个名词
1、域:指导 Word 在文档中自动插入文字、图形、页码和其它资料的一组代码。
2、域开关:在使用域时,引发特定操作的特殊说明,一般是指添至域中用于修饰结果的选项。
3、域名:域的名称,如 EQ 域、TIME 域等。
4、域记号:一对大括号 {}。注意不能直接用键盘输入,应该用后面介绍的“插入空白域”的方法来实现。
5、域的两种显示方式:一种是以域代码方式显示,一种以域结果方式显示。以 "Time" 域为例,它以域代码方式显示时是这样的:{TIME \*MERGEFORMAT},它以域结果方式显示是这样的:14:18。
二、与域有关的快捷键
1、在文档中插入空白域:按 Ctrl+F9 键(也可以用命令"插入→域"来实现)。
2、在域代码和域结果之间切换:按 Shift+F9 键。
3、更新选择的域:按 F9 键。
4、取消某个域的链接:先选中该域,再按 Ctrl+Shift+F9 键,这时域结果将以平常文本的形式显示出来。
5、转到前一个域:按 Shift+F11 键;转到后一个域:按F11键。
6、锁定域:按 Ctrl+F11 键。例如,在文档中插入Time域,在打印文档时会自动更新该域,如果希望保持插入的时间值,只要在打印之间锁定该域就可以了。解除域的锁定:按 Ctrl+Shift+F11 键。
三、“域”的基本操作
“域”的操作包括对话框操作和热键代码操作两种方式,下面以“\(2\frac{2}{3}\)”的录入过程来介绍“域”的基本操作方法:
1、对话框操作
单击“插入”菜单中的“域”,调出“域”操作对话框,在出现的对话框中选择左侧的“等式与公式”域类别和右侧的“EQ”域名,单击【选项】按钮。再在出现的对话框中选中“开关”选项中的“F(,)”后,点击“添加到域”,然后在对话框下面的输入框内输入“2\F(2,3)”。最后依次单击【确定】按钮,“\(2\frac{2}{3}\) ”就出现在了文档的当前光标处了。
2、“域”代码操作
在需插入的光标处插入空“域”(即一对带底纹的{},热键是“Ctrl+F9”),再在其中输入代码“EQ 2\F(2,3)”,这时按组合键“Shift+F9”,“\(2\frac{2}{3}\)”就出现在当前光标处了。
事实上,在Word的默认状态下,当进入“打印预览”状态时,“域”代码就自动转换了,当然打印时也不会打印出“域”代码。
3、“域”代码的查看和修改
用组合键“Shift+F9”可以实现“域”代码与“域”内容之间的相互转换,达到查看、修改、编辑的目的,当处于“域”代码状态时,其内容的操作与文本内容的操作没有区别。当然,它们之间的相互转换也可以通过右键菜单中相应的菜单命令来完成。
四、“域”操作中应注意的问题
1、一个“域”名可以跟多个、多种开关,甚至是汉字,开关还可以嵌套
如:在空“域”中输入代码及文字“eq \o(\s\up5 (山),s\do5(鬼))”就可输入:“嵬”字。
2、在“域”代码输入中应注意以下几点
(1)字母的大小写不区分,但“域”的控制符部分(如上例中的EQ、f、括号、逗号等)必须在英文半角状态下输入,内容部分则无此限制,可以是汉字、特殊符号等。
(2)“域”名和第一个开关之间至少要有一个空格。
(3)“域”内容部分仍可以像文本内容一样选择字体、字号等。
(4)当“域”代码内容很长时,不能强行换行。
(5)不能删除Windows中的Symbol字库文件,否则“域”操作所需要的某些符号就会发生改变。
五、EQ 域的基本使用格式
{EQ Switches},其中Switches用于指定如何使用其后跟随的括号中的元素建立公式,还可以用适当的开关选项来进行修改。EQ域的开关特别多,特别复杂,合理的组合可以产生各种各样的公式,下面我们来详细介绍各种开关的作用及使用方法及事例。
六、EQ 域的开关及选项意义
1.数组开关:\a(),可以在文档中绘制一个二维数组
按照行的顺序将数组元素排列为多列,还可以使用下面的选项来修改\a 开关。
\al 列内左对齐。\ac 列内居中对齐。\ar 列内右对齐。\con元素排成n列(默认值为1)。\vsn行间增加n磅的垂直间距。\hsn列间增加 n 磅的水平间距。
【例1】我们要在文档中输入今年10月份的月历,可以插入如下域代码: {eq \a\ac\co7\vs2\hs10(日,一,二,三,四,五,六,,1,2,3,4,5,6,7,8,9,10,11,12,13,14,15,16,17,18,19,20,21,22,23,24,25,26,27,28,29,30,31)},显示结果如下所示:

【例2】在文档中插入如下域代码: { EQ \a\ac\co3\vs4\hs9(姓名,年龄,性别,张强,24,男,英子,18,女,姚兴云,29,男) },其显示结果如下图所示:

【例3】{ EQ \a\al\co2\vs3\hs3(Axy,Bxy,A,B) },该域的含义是将域代码括号中的数组按行顺序排列成3列,列内居中对齐,行间增加9磅的垂直间距,列间增加9磅的水平间距。其显示结果如下图所示:
\(\begin{array}{*{20}{c}} {Axy}&{Bxy}\\ A&B \end{array}\)
2.括号开关:\b(),用括号括住单个元素
\b\lc 左括号使用字符 c 。\b\rc 右括号使用字符 c 。\b\bc 左右括号都使用指定的字符 c 。
在使用 \b\bc 修改选项时,如果指定的字符是{ [ ( 或<,Word 将使用对应的右括号。如果指定其他字符,Word使用相同的左右括号。
【例4】要输入一个三阶行列式,可以输入如下域代码:{eq \b\bc\|(\a\ac\co3\vs4\hs4(y,y+1,y-1,2,y,y+4,y+6,y-2,y))},显示结果如下图所示:
\(\left| {\begin{array}{*{20}{c}} y&{y + 1}&{y - 1}\\ 2&y&{y + 4}\\ {y + 6}&{y - 2}&y \end{array}} \right|\)
从本例可以看出,域开关和选项不仅可单独运用,还可以组合运用。
【例5】域代码:{ EQ \b\bc\[(\a\ac\co3\vs9\hs9(x,1+x,1-x,1,x-1,x,1-x))}的显示结果结果如下图所示:
\(\left[ {\begin{array}{*{20}{c}} x&{1 + x}&{1 - x}\\ 1&{x - 1}&x\\ {1 - x}&{}&{} \end{array}} \right]\)
【例6】域代码{ EQ \b\bc\{(\r(5,x2+y2)) }的显示结果如下图所示:
\(\left\{ {\sqrt[5]{{x2 + y2}}} \right\}\)
上面的例子中,是先通过\r开关为x2+y2开5次方,然后利用\b开关为这个根式的两边加了一对大括号{}。
3.位移开关:\d(),将下一个字符向左或右移动指定磅数
\fon()右边n磅。\ban()左边n磅。\li()为下一个字符前的空白添加下划线。
【例7】文字及域代码“我距后面20磅{ EQ \d\fo20\li() } 我距前面20磅”的显示结果为:
“我距后面20磅_________我距前面20磅”
这个例子中,EQ域后面的文字向右移动20磅,并且在EQ域前面的文字和其后面的文字之间的空白处添加了下划线(其中奥妙:控制下划线颜色的是域代码中小括号的颜色)。
需要注意的是,使用该开关移动文字时,如果移动方向及磅数设置不当,可能会导致文字被移到页边距以外或EQ域前后文字相互重叠。
4.分数开关:\f(,):可用于创建分数,分子分母分别在分数线上下居中
如果系统使用逗号作为小数点,请用分号分隔两个元素。
【例8】文字和域代码“班平均成绩={ EQ \f(全班总成绩,全班总人数) } ”的显示结果如下图所示:
班平均成绩=\(\frac{全班总成绩}{全班总人数 }\)
【例9】{EQ \f(4,RateX) + \f(8,RateX) = \f(12,RateX)}的显示结果如下图所示:
\(\frac{4}{{RateX}} + \frac{8}{{RateX}} = \frac{{12}}{{RateX}}\)
5.列表开关:\l(),将多个值组成一个列表,列表可作为单个元素使用
列表开关可使用任意个数元素组成列表,以逗号或分号分隔,这样就可以将多个元素指定为一个元素。
【例10】域代码a=α({EQ \l(i,j,r,s)})的显示结果为:
a=α(i,j,r,s )
在该例中,将a表示成四维向量α中的一个分量。列表(i,j,r,s)被指定成为了一个元素,在公式中可以将它作为单个元素来引用。
【例11】{ EQ \l(A,B,C,D,E)}显示为:
A,B,C,D,E
6.重叠开关:\o(),将每个后续元素打印在前一元素之上
\al 左对齐,\ac 居中(默认值),\ar 右对齐。
例如:{ EQ \o\ac (ABC,\s\up10(︵))}显示为

7.根号开关:\r(,),使用一个或两个元素绘制根号
使用1个或2个元素绘制根号。使用1个元素时,默认是开二次方;使用2个元素时,第1个元素为开方次数,第2个元素为被开方的部分。
【例12】如果我们要建立一个既有根式又有分式的数学方程式,本来非常难,现在好办了。输入域代码:{eq \r(3,1+2x)}={eq \f(1,1-x)}(等号前后各是一个EQ域),其显示结果如下:
\(\sqrt[3]{{1 + 2x}} = \frac{1}{{1 - x}}\)
【例13】域代码{ EQ \r(1+tg2x)}的显示结果如下所示:
\(\sqrt {1 + tg2x} \)
注:根式域代码默认开二次方,所以在代码中可以省略开方数2,例12中则不能省略开方数3。
8.上标或下标开关:\s(),设置上下标可将一个或多个元素设置为上标或下标
每个\s代码可有一个或多个元素,以逗号隔开。如果指定多个元素,则元素将堆叠起来并且左齐。可用下面的选项在\s开关之后放置单个元素。
\ain()在段落一行之上添加由 n 指定的磅数的空白。
\upn()将单个元素相对相邻文字上移由 n 指定的磅数。默认值为 2 磅。
\din()在段落一行之下添加由 n 指定的磅数的空白。
\don()将单个元素相对相邻文字下移由 n 指定的磅数。默认值为 2 磅。
【例14】
(1)域代码S{EQ \s\do6(m,n)}= A{EQ \s\do6(m,s)}×B{EQ \s\do6(s,n)},其显示结果如下图所示:
\(S_n^m = A_s^m \times B_n^s\)
表示两个矩阵相乘。
(2)域代码 y = a{ EQ \s\up6(x-1) }的显示结果如下图所示:
y = ax-1
【例15】{ EQ \s\up8(AB)\s\do8(2) } 的显示结果如下图所示:

9.方框开关:\x(),在元素四周绘制边框
\to 元素之上,\bo 元素之下,\le 元素左侧,\ri 元素右侧。
【例16】(1)域代码{EQ \x\to\bo(x2+y2=R2)}显示结果如下:

(2)域代码{ EQ \x(x2+y2=R2)}显示结果如下:

(3)域代码{ EQ \x\le\ri(10) } 显示结果如下:
\(\left| {10} \right|\)
10.积分开关:\i(,,),使用指定的符号或默认符号及三个元素创建积分
使用指定的符号及三个元素创建积分。第一个元素是积分下限,第二个元素是积分上限,第三个是积分表达式。可用下面的选项修改。
\su 符号更改为大写的 ∑ 并生成求和公式。
\pr 符号更改为大写的 Π 并生成求积公式。
\in 创建行内格式,积分限不在符号的上下,而在符号之右。
\fc\c 将符号设置为固定高度的字符 c。
\vc\c 将符号设置为可变高度的字符 c。符号高度与第三个元素高度一致。
【例17】(1)域代码{ EQ \i\pr(i=1,n,Si×Ti) }
\(\prod\limits_{i = 1}^n {Si \times Ti} \)
(2)域代码{ EQ \i\in(a,b,sinxdx) }
\(\int_a^b {\sin xdx} \)
(3){ EQ \i\fc\$(a,b,sinxdx)}
\(\mathop $\limits_a^b \sin xdx\)
(4)域代码{EQ \i\fc\$(a,b,\f(1,sinx)dx)}
\(\mathop $\limits_a^b \frac{1}{{\sin x}}dx\)
(5)域代码{ EQ \i\su(1,5,3) }
\(\sum\limits_1^5 3 \)
(6)域代码{ EQ \i\vc\J(a,b,sinxdx)}

(7)域代码{ EQ \i\vc\J(a,b,\f(1,sinx)dx) }

注(3)(4):将字符$作为积分符号,积分符号的高度固定,不会因积分式的高度变化而改变积分符号的高度。
注(6):将字符J作为积分符号,积分符号高度可变,其高度会随积分式的高度变化而变化。
特别提醒:大家先用"Ctrl+F9"的方法插入域记号后,再手工输入域代码,常常会出现域结果显示错误,此时可调整"EQ"与"域开关"之间的间距来解决(一般需要空1个字符)。若仍不能解决,最好用"插入→域"的命令方式来完成域的插入。
七、EQ域实例
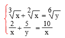
【例1】我们要创建如下的数学二元一次方程组:先写出第一个方程的域代码:{EQ \r(3, x )+ \r(2, x ) = \r(6, y )},再写出第二个方程的域代码:{\f( 2 , x ) + \f( 5 , y ) = \f( 10 , x )}。
写域代码时为使显示结果排列整齐,要用空格来调整字符间距,根指数的字号要小于公式其它内容的字号。然后编辑方程组域代码:将两个等式放在一个括号内,中间用逗号分开,并在括号外增加数组开关\a\al\co1,其结果会使两个方程排列成一列两行:
{ EQ \a\al\col(\r(3, x )+ \r(2, x ) = \r(6, y ), \f( 2 , x ) + \f( 5 , y ) = \f( 10 , x ))}
显示结果如下图:
\(\begin{array}{l} \sqrt[3]{x} + \sqrt[2]{x} = \sqrt[6]{y}\\ \frac{2}{x} + \frac{5}{y} = \frac{{10}}{x} \end{array}\)
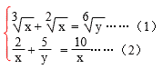
还可以在数组开关外面加一个括号开关,并自定义括号为粉红色大括号,结果会给方程组增加一个粉红色的总括号:
{ EQ \b\lc\{(\a\al\col(\r(3, x )+ \r(2, x ) = \r(6, y ), \f( 2 , x ) + \f( 5 , y ) = \f( 10 , x )))}
显示结果如下图:

也可以在方程后面加上…………(1)、…………(2),则方程组域代码及显示的结果如下图所示:
{ EQ \b\lc\{(\a\al\col(\r(3, x )+ \r(2, x ) = \r(6, y )……(1), \f( 2 , x ) + \f( 5 , y ) = \f( 10 , x )……(2)))}

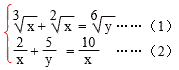
如果要在每个方程后面用逗号与…………(1)、…………(2)隔开,这样就成了\b\co2(方程1, …………(1) , 方程2, …………(2))即两列两行的数组形式,则方程组域代码及显示结果如下图所示:
{ EQ \b\lc\{(\a\al\co2(\r(3, x )+ \r(2, x ) = \r(6, y ),……(1), \f( 2 , x ) + \f( 5 , y ) = \f( 10 , x ),……(2)))}

【例2】创建如下的积分算式:
首先写出内部的根号的代码:{EQ \r(2,x)},然后增加分数开关的代码:{EQ \f (\r (2,x),5)},最后增加积分开关,完成这个积分算式。算式代码为:
{EQ \i(200,100,\f(\r(2,x),5)) dx},最终的显示结果如图所示:
\(\int\limits_{100}^{200} {\frac{{\sqrt[2]{x}}}{5}dx} \)
域代码{ EQ \i\in(a,b,\f( 1 , 1+x ) dx) }= {EQ \b\bc\[(lnx)\s\up10(b)\d\ba10(\s\do10(a))}的显示结果如下:
\(\int_a^b {\frac{1}{{1 + x}}dx = \left[ {\ln x} \right]_a^b} \)
域代码{ EQ \i\in(a,b,dx)\i\in(a,x,f(x,y)dy) }={ EQ \i\in(a,b,dy)\i\in(y,b,f(x,y)dx) }的显示结果如下:
\(\int_a^b {dx\int_a^x {f(x,y)} dy = } \int_a^b {dy\int_y^b {f(x,y)} dx} \)
域代码{ EQ e\s\up3(λx)\b\bc\[(P\s\do3(l)\f(e\s\up3(iωx)+e\s\up3(-iωx),2) + P\s\do3(n)\f(e\s\up3(iωx)-e\s\up3(-iωx),2))},显示如下:
\({e^{\lambda x}}\left[ {{P_1}\frac{{{e^{i\omega x}} + {e^{ - i\omega x}}}}{2} + {P_n}\frac{{{e^{i\omega x}} - {e^{ - i\omega x}}}}{2}} \right]\)
域代码{ EQ \b\lc\{(\a\al\vs2(x = \f(12,17)e\s\up3(-\f(7,5)t) +\f(5,17)e\s\up3(2t) + \f(3,7)t - \f(1,49),y = \f(18,17)e\s\up3(-\f(7,5)t) - \f(1,17)e\s\up3(2t) + \f(1,2)e\s\up3(-t) - \f(26,49))) }的显示结果如下:
\(\left\{ \begin{array}{l} x = \frac{{12}}{{17}}{e^{ - \frac{7}{5}t}} + \frac{5}{{17}}{e^{2t}} + \frac{3}{7}t - \frac{1}{{49}}\\ y = \frac{{18}}{{17}}{e^{ - \frac{7}{5}t}} - \frac{1}{{17}}{e^{2t}} + \frac{1}{2}{e^{ - t}} - \frac{{26}}{{49}} \end{array} \right.\)
在Word中,域相当于文档中可能发生变化的数据或邮件合并文档中套用信函、标签中的占位符。Word中可以手工插入的域有9大类70多个。许多菜单命令,如“插入页码”和“插入日期和时间”等,都可以通过插入域的方法来实现。
域代码位于一对花括号{}中。手工插入域的方法有2种:一是按下Ctrl+F9,文档中将会插入一对花括号{}(注意:仅通过键入键盘上的字符无法实现插入域的花括号),然后在花括号中手工输入域代码;二是单击“插入”菜单下的“域...”命令,在出现的“域”对话框中选择要插入域的类别及域名。如果选择的域还有附加选项,“选项”按钮应该是可用的。单击“选项”按钮,在“域选项”对话框中选择要加入的域选项,单击“确定”按钮,回到“域”对话框中后再单击“确定”按钮。域有些类似于Microsoft Excel中的公式,具体来说,域代码类似于公式,域结果类似于公式计算得到的值。选中域代码按下F9,可以将域代码转换为其计算结果;选中域代码显示结果,然后按Shift+F9组合键,可以将域代码显示结果转换为域代码。我们可以通过Ctrl+Shift+F9 组合键断开域的链接,如果断开某个域的链接,会使当前的域显示结果成为常规文本。
下面再附一篇转载并根据本人实践重新编辑的文章(图片形式),将内容集中在一张表格内,简明扼要,便于阅看。

发布时间:2013/6/30 上午7:56:02 阅读次数:19619
